Ben Parsons

175 posts tagged with "Ben Parsons" (See all authors)

This Week in Matrix 2020-11-20

2020-11-20 β€” This Week in Matrix β€” Ben Parsons

πŸ”—Matrix Live πŸŽ™

Something different this week as we welcomed the community to submit their own demos!

  1. Oleg presents his Matrix home-automation setup, which uses Opsdroid, home-assistant and the reminder maubot.
  2. Nico gives presents a selection of small-ish new features in Nheko
  3. Timo gives a tour of the current state of the Conduit homeserver
  4. MTRNord (Marcel) presents the time-tracking bot used by Famedly
  5. Sorunome presents bootstrapping (creating cross-signing keys and online keybackup) in Fluffychat.
  6. Bala from Noteworthy presents Deploy a Matrix home server in 2 minutes with Noteworthy (set to royalty free music!)

πŸ”—Dept of Status of Matrix 🌑️

πŸ”—Bundeswehr deployment and app goes live

Matthew reported:

The Matrix deployment for the Bundeswehr (German Armed Forces) has gone live - details (in German) at https://messenger.bwi.de/ and https://www.bwi.de/news-blog/news/artikel/open-source-matrix-ist-einheitlicher-messenger-standard-fuer-die-bundeswehr and further coverage at https://www.egovernment-computing.de/bwi-und-bundeswehr-setzen-auf-open-source-a-980033/

Oleg (same fellow from the video - wow!) added:

Heise (German news portal) also quoted the news: https://www.heise.de/news/Matrix-steht-als-Messenger-fuer-Soldaten-und-zivile-Angehoerige-zur-Verfuegung-4963211.html

David Mehren linked to Element's own coverage:

https://element.io/blog/bwmessenger-goes-live-for-bundeswehr/

πŸ”—Dept of Spec πŸ“œ

πŸ”—New spec platform

wbamberg said:

πŸ”—Spec

anoa reported:

Here's your weekly spec update! The heart of Matrix is the specification - and this is modified by Matrix Spec Change (MSC) proposals. Learn more about how the process works at https://matrix.org/docs/spec/proposals.

πŸ”—MSC Status

Merged MSCs:

  • No MSCs were merged this week.

MSCs in Final Comment Period:

New MSCs:

Personally I would find that last one quite helpful!

πŸ”—Spec Core Team

In terms of Spec Core Team MSC focus for this week, we're sticking with the same three MSCs: MSC2844 (global versioning), MSC1544 (QR code verification) and MSC2790 (modal widgets). MSC2844 in particular I personally found quite interesting.

2020-11-20-M8ArJ-stacked_area_chart.png

πŸ”—Dept of Servers 🏒

πŸ”—Dendrite / gomatrixserverlib

Dendrite is a next-generation homeserver written in Go

Neil Alexander said:

We started out this week by releasing Dendrite 0.3.0 and then ended the week with a bug-fix Dendrite 0.3.1 release.

I'd like to say thank you especially to our community contributors who have been adding new features and filling gaps!

Changes this week include:

  • Memory optimisation by reference passing, significantly reducing the number of allocations and duplications in memory

  • A concurrency bug has been fixed in the federation API that could cause Dendrite to crash

  • A hook API has been added for experimental MSCs, with an early implementation of MSC2836

  • Forgetting rooms is now supported (thanks to S7evinK)

  • The last seen timestamp and IP address are now updated automatically when calling /sync

  • The last seen timestamp and IP address are now reported in /_matrix/client/r0/devices (thanks to alexkursell)

  • An optional configuration option sync_api.real_ip_header has been added for specifying which HTTP header contains the real client IP address (for if Dendrite is running behind a reverse HTTP proxy)

  • Partial implementation of /_matrix/client/r0/admin/whois (thanks to DavidSpenler)

  • The error when registering a username with invalid characters has been corrected (thanks to bodqhrohro)

  • The -version command line flag has been added (thanks to S7evinK)

  • Backfilling should now work properly on rooms with world-readable history visibility (thanks to MayeulC)

  • Some more client event fields have been marked as omit-when-empty (thanks to S7evinK)

  • The build.sh script has been updated to work properly on all POSIX platforms (thanks to felix)

Spec compliance is unchanged, although some Synapse-specific tests have been removed and some new tests have been added:

  • Client-server APIs: 58%, same as last week

  • Server-server APIs: 83%, same as last week

As always, feel free to join us in #dendrite:matrix.org for general Dendrite chat or #dendrite-dev:matrix.org for development discussion.

πŸ”—Synapse

callahad offered:

We released Synapse 1.23.0 on Wednesday! Read all about it on the Matrix Blog. Otherwise, we'd like to highlight a few developments over the past week:

  • We're discussing a policy for ending support for old versions of Python and PostgreSQL. If you have opinions, please let us know on GitHub.

  • Our initial implementation of MSC2403: Add "knock" feature is undergoing review, and will likely land soon.

  • We've been looking at ways to improve the efficiency of state resolution, and Erik has managed to devise some algorithmic improvements that yield an order of magnitude speedup for a handful of pathologic cases. We hope to have a better idea of how this might work for real world workloads soon.

Lastly, we'd like to take this opportunity to remind you to please regularly upgrade your Synapse. Especially if you're not yet on 1.20.0, as we'll be disclosing a denial of service issue which affects older versions on Monday.

πŸ”—maunium/synapse

Tulir said:

mewmew wanted to use my fork of Synapse, so I made the changes there configurable (instead of hardcoding to my user ID) and even added a readme to list the features. It might also be useful for other people who want custom room IDs and other fun stuff.

The fork is available at https://mau.dev/maunium/synapse

πŸ”—Homeserver Deployment πŸ“₯️

πŸ”—Kubernetes

Ananace offered:

And just to be on time, I just pushed an updated tag and new version of my K8s container image and chart for Synapse 1.23.0

πŸ”—Dendrite

Dendrite is a next-generation homeserver written in Go

TR_SLimey offered:

I've updated the Dendrite ARM docker images to v0.3.0. They can be found at https://hub.docker.com/r/trslimey/dendrite-monolith & https://hub.docker.com/r/trslimey/dendrite-polylith

and later

I have once again updated the Docker ARM Dendrite images for version 0.3.1.

πŸ”—Dept of Bridges πŸŒ‰

πŸ”—mx-puppet-bridge

mx-puppet-discord is a (double)puppeting and relay bridge for discord, based on mx-puppet-bridge

sorunome told us:

Support for receiving EDUs from matrix (typing, read indicators and presence) has been added. Protocol implementations can start using the new events, if they want to. Version 0.1.0 has been released along with this. You have to enable the de.sorunome.msc2409.push_ephemeral flag in your registration file

πŸ”—mx-puppet-discord

Added support for bridging typing and presence matrix->discord

πŸ”—Gitter

Eric Eastwood offered:

The native Gitter <-> Matrix bridge is in production! πŸš€πŸš€ We're only testing it out in a single room but feel free to come by and send a message πŸ˜€

https://gitter.im/gitter/testing-matrix-bridge <-> #5faa0809d73408ce4ff3ad8e:gitter.im

We also have edits from the Gitter side flowing to Matrix and soon to support edits from Matrix. You can track our full progress from the GitLab epic for the native Gitter <-> Matrix bridge.

2020-11-20-YVtF0-editingmessages.gif

πŸ”—mx-puppet-vk

Coma Grayce told us:

Hey, our team of colorful ponies proud to introduce you a new Matrix bridge to VK.com chats. It's powered by mx-puppet-bridge and so far supports almost all of core features people want to see, like replies, message edits and file attachments.

Project home: https://github.com/innereq/mx-puppet-vk

Video introduction: https://www.youtube.com/watch?v=nBRBUA9beXs

πŸ”—Dept of Clients πŸ“±

πŸ”—Nheko

Nheko is a desktop client using Qt, Boost.Asio and C++17. It supports E2EE (with the notable exception being device verification for now) and intends to be full featured and nice to look at

Nico (@deepbluev7:neko.dev) announced:

  • Profiles should now open again on older versions of Qt.

  • I've been slowly rewriting the message are to be qml, to make it easier to do fancy styling. As a result emojis in the emoji-completer are now colorful and the avatars in the username completer now match the avatars used in the timeline. It also open up a few other improvements, like finally sending mentions as links instead of plain text.

  • We have now CI running on our self hosted gitlab instance. We will probably switch of the travis CI, once this is more battle tested. Repositories are now also automatically mirrored between gitlab and github.

  • Fixed a bug, where we tried to read the internal world group on your server instead of keeping that to ourself.

πŸ”—Konheko

Nico (@deepbluev7:neko.dev) offered:

I released 0.0.3 a few days ago bundling a few smaller improvements like redactions, copying messages and the ability to click on more links as well as some visual cleanups. Nothing radical, but also nothing breaking (I hope).

2020-11-20-2M9RA-Bildschirmfoto_20201120_001.png

πŸ”—Element

Neil said:

πŸ”—Delight (Rich vdH, Michael (t3chguy), Valere, Steve, Nique, Nad)

  • Improving usability

    • Last week

      • Observed user tests of people trying to use Element for the first time for personal and professional use cases
    • This week:

      • Began work on fixing several of the issues observed, like:

        • adding an invite people button to new rooms, so users can more easily add people;
        • changing copy to help people understand what DMs are
  • Spaces

    • Communities are coming back with a bang! Last week we said we renamed them to Spaces, and this week, we’ve started designing what MSC1772 would look like for users on Element, to start user testing next week.
  • Social login

    • To make authentication easier, we’ve started initial implementations of SSO in Element, exploring how homeservers & Matrix clients can support multiple SSO providers. Most of the work so far is captured in MSC2858.

πŸ”—VoIP (Dave, Brendan, Ismail, Francois, Simon, Nad)

  • Web

    • PR up for new look in-call UI, now looking at line 1 / 2 support
  • Mobile

    • Work ongoing to update both platforms to v1 VoIP
  • Design

    • Some tweaks as implementation is ongoing

πŸ”—Web Platform (Ryan)

  • Element Web 1.7.14-rc.1 is now available at https://staging.element.io, including:

    • Several tweaks and improvements to the room list filter

    • Improved registration based on user feedback

    • Improved invite / create DM flow

πŸ”—iOS Platform (Manu, Gil)

  • Last week:

    • The release has been blocked because a bug has been found in the end to end encryption module. It has been fixed but we want to fix damages it created on one time keys before releasing the new app version.

    • The new background sync service mechanism PR has been updated

    • We started to integrate tuist to stop to be annoyed with merge conflicts on the Xcode project file

  • This week:

    • Release!
    • Merge the background sync service mechanism PR and make more people test it

πŸ”—Android Platform (Benoit, Onuray)

  • Last week:

    • We’ve just merged a lot of PRs, to improve room creation form and fix some bugs.
    • SDK side, Dominaezzz is converting some of the Service API methods to coroutines, for a cleaner code. See for instance https://github.com/vector-im/element-android/pull/2414 . 9 out of about 45 services have been migrated so far. We have about a 45 services in the SDK (!)
  • This week:

    • Release including a new way to invite friends to Matrix and to Element.

πŸ”—Hydrogen

Bruno reported:

Released 0.1.30 with image uploads. There is also a new preference in the settings to scale sent images down.

πŸ”—Dept of SDKs and Frameworks 🧰

πŸ”—Ruma

Ruma is a Rust project to create a comprehensive set of APIs for Matrix. Previously there was a Ruma homeserver project.

jplatte said:

Since our last update four weeks ago,

  • iinuwa created issues for all of the identity service api endpoints (w/ suggested module names!) πŸŽ‰

  • I updated lots of enumerated types to allow unspecced values, for future compatibility & robustness

  • Devin R made sure a custom Content-Type in responses overwrites the default rather than creating a duplicate header. #339

  • gnieto fixed a bunch of bugs in ruma-federation-api

  • Alejandro DomΓ­nguez added support for deserializing string power levels (requires the unstable-synapse-quirks feature because these events are invalid according to the spec but Synapse used to (?) accept them)

πŸ”—Ruby SDK

Ananace reported:

Just released version 2.2.0 of the Matrix Ruby SDK with the help of the community, with this release support for JRuby is improved - though still not perfect, in the higher-level abstraction direct messaging rooms are now exposed for all users - as well as all that the current user has, and the lower-level abstraction sees the addition of the CS API method to get an event context.

And just to reiterate; if you're using the gem - or have questions/comments about it. please do drop into the discussion room at #ruby-matrix-sdk:kittenface.studio.

πŸ”—Dept of Bots πŸ€–

You can see demos of both bots in this section by watching Matrix Live \o/

πŸ”—home-assistant-bot v2.0.0 released

Oleg told us:

Opsdroid bot for triggering home-assistant automations.

πŸ”—Changes

  • ⚠️ Possible breaking change: change behavior how messages are matched

    • Before: messages were matched only if a message starts with !

    • In this version: the whole message is matched. This means in v2.0.0 this will work Hey, please !turnon light1

      • You can override this by using ^ in the config for. For example: regex: "^!turnon"
    • This allows one bot trigger another. See this TWIM video for details. πŸ˜‰

  • Add howto for setting up wakeup-light with home-assistant

  • Update Opsdroid to v0.19.0

  • Update opsdroid-homeassistant to 0.1.8

  • Add debug config parameter to display messages in the chat, that the bot is getting but, maybe, is not processing/matching

πŸ”—Feedback

πŸ”—Famedly Timetracking bot

MTRNord announced:

As seen in the video I am working at famedly on a bot to track our work hours.

Until this happens the video gives you a sneakpeak on the functions of that bot.

πŸ”—Current (implemented) functions

  • Tracking of time using !in and !out commands with forced usage of a description as well as ISO 8601 timestamps.

  • Verification if a time is logical based on the known data

  • Saving the times tracked inside of postgresql

  • Tracking durations using a !record command

  • Responding to only allowed users. (Including ignoring invites if a user is not allowed to use the bot.)

  • Using !delete to remove entries from the database as needed

πŸ”—Planned functions

  • Handling of timezones based on users

  • !stats command which prints you the tracked durations based on a predefined or custom range of time

  • CSV Export based on a defined range

  • !break command. Putting a break in between a record or a in/out combination.

  • Better handling of multiple !in commands

  • Improved responses

  • Reminders to call !out and to take breaks

Fell free to join us at #timetracking-bot:famedly.de . As soon as the repo gets opened up to public we will announce it in TWIM. Feel free to give suggestions or wishes in our room :)

Get it at: https://gitlab.com/famedly/bots/timetracking

πŸ”—Dept of Ping πŸ“

Here we reveal, rank, and applaud the homeservers with the lowest ping, as measured by pingbot, a maubot that you can host on your own server. Join #ping:maunium.net to experience the fun live, and to find out how to add YOUR server to the game.

RankHostnameMedian MS
1envs.net297
2neko.dev297.5
3maescool.be346
4sorunome.de396
5apetre.sc439.5
6maunium.net503
7midov.moe520.5
8matrix.sp-codes.de603
9matrix.thedisco.zone608
10casavant.org609

πŸ”—That's all I know 🏁

See you next week, and be sure to stop by #twim:matrix.org with your updates!

This Week in Matrix 2020-11-13

2020-11-13 β€” This Week in Matrix β€” Ben Parsons

πŸ”—Matrix Live πŸŽ™

This marks the start of Season 6 of Matrix Live (S06E01), a decision M+A apparently made on the fly just now. Incrementing a mostly-arbitrary counter... Imagine wielding that kind of raw power!

πŸ”—Dept of Status of Matrix 🌑️

πŸ”—IETF three-way bridge

Matthew reported:

The IETF have been continuing to experiment with new chat systems, and #xmpp_bridgingmeta_jabber.ietf.org:matrix.org exists as a three-way bridge to discuss the initiative spanning Matrix, XMPP & Zulip. Really fun to see open chat converging like this :)

πŸ”—Dept of Science πŸ§ͺ

πŸ”—Analysis of the Matrix Event Graph Replicated Data Type

Florian announced:

Fresh off the arXiv presses comes our

β€œAnalysis of the Matrix Event Graph Replicated Data Type” preprint! This time, it is a deep dive into the data structure properties of the event graph:

What type of consistency guarantees does it provide, how many of the other homeservers you share a room with can be faulty or malicious without violating those guarantees (short answer: all of them!),

and how is it possible that a frayed-out event graph ever laces back to just a few current events, while there is a probability larger than zero for growth to arbitrarily high limits?

To shed light on those questions, we had a great cooperation between my Decentralized Systems and Network Services Research Group and Prof. Dr. Norbert Henze from the Institute of Stochastics.

While we are still in search of the right venue for peer-reviewed publication, we went for a preprint this time to share our results with the scientific and the Matrix community in a timely manner.

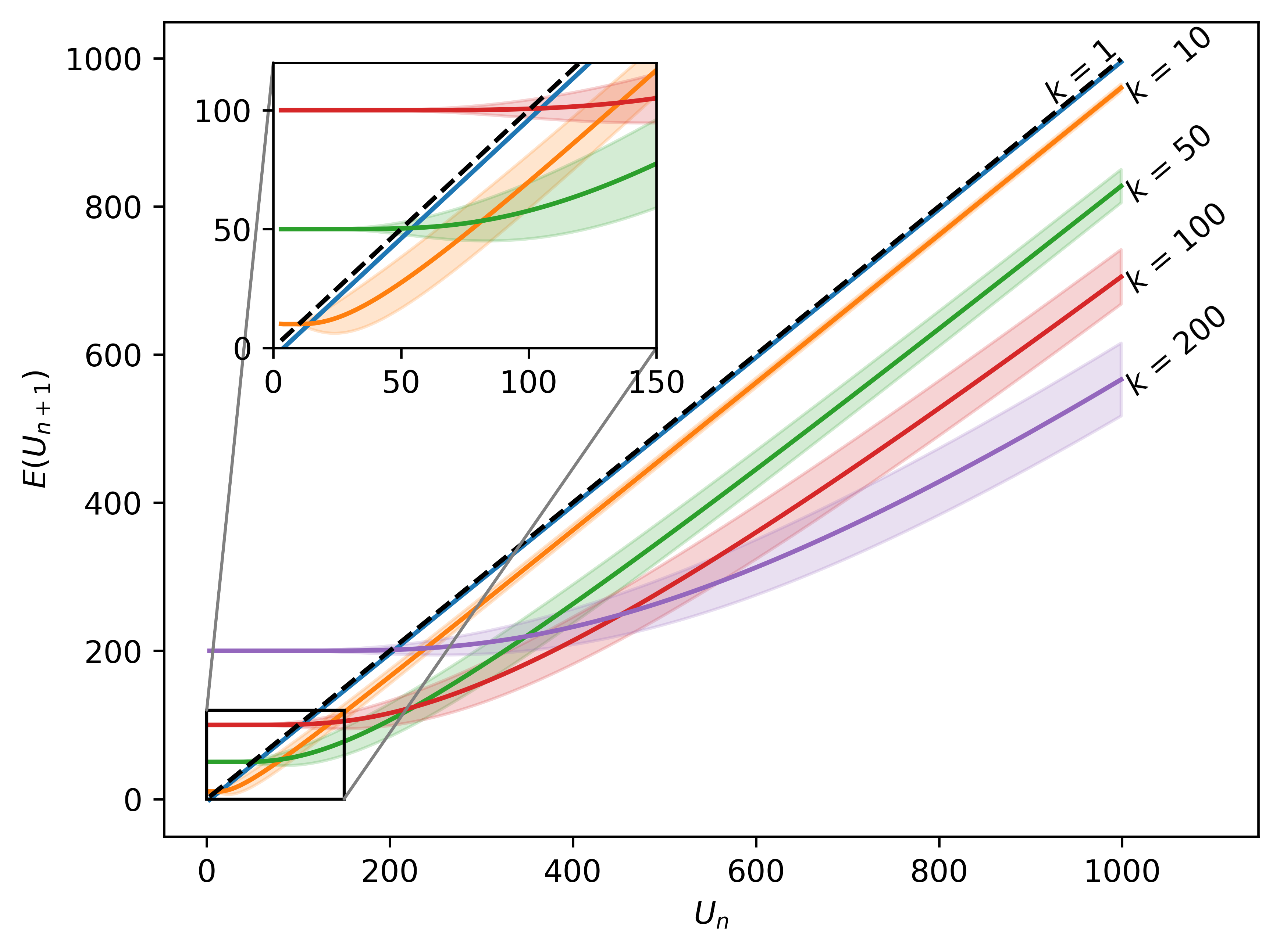
2020-11-13-WTJwJ-next-step-expectations.png

In this figure, k is the number of participating servers, U_n is the current width of the event graph.

For example, with a current width of U_n = 1000 events and k = 200 servers, we can expect that the width goes below E(U_{n+1}) < 600 events in just one step.*

πŸ”—Dept of Spec πŸ“œ

πŸ”—Spec

anoa reported:

Here's your weekly spec update! The heart of Matrix is the specification - and this is modified by Matrix Spec Change (MSC) proposals. Learn more about how the process works at https://matrix.org/docs/spec/proposals.

πŸ”—MSC Status

Merged MSCs:

MSCs in Final Comment Period:

  • No MSCs are in FCP.

New MSCs:

πŸ”—Spec Core Team

In terms of Spec Core Team MSC focus for this week, MSC2744 has entered FCP. As such we're switching it out for MSC2844, which aims to define a global versioning system for all spec documents. Note that MSC2844 does not currently have FCP proposed. Its purpose for being in the focus this time around is for asking the team whether ideas proposed are plausible.

Thus this week's focus is MSC1544 (QR Code verification), MSC2790 (modal widgets) and MSC2844 (global versioning).

We've also started making use of a Github board to track the state of an MSC through the currently somewhat ambiguous process of putting up an MSC that is ready for review to starting FCP. You can find the board here: SCT Backlog.

Some explanation of the columns:

  • Awaiting SCT Input - These are MSCs that are deemed reviewable by the MSC author, and require review by a subsection of the Spec Core Team (usually one or two people) that are most familiar with the scope of Matrix that the MSC is relevant to.

  • Ready for FCP ticks - At least one individual from the Spec Core Team has signed off on the MSC. It is not time for others to give a cursory review - mainly sanity checking from the perspective of the part of Matrix that they work on. Note that fundamental flaws may still be found in this stage, requiring the MSC to be reworked.

  • In FCP - The MSC is in Final Comment Period, where everyone has a last chance to get their ideas in. This happens after most of the Spec Core Team have given their ticks from the previous column.

  • Done - These MSCs no longer need immediate attention by some portion of the Spec Core Team.

These definitions are all flexible as we continue to see what works for the limited resources we have available for review.

Do not be alarmed if a particular MSC is not on this board, we're placing things on here as deemed necessary, and more will certainly be added in time.

2020-11-13-IBXkM-stacked_area_chart.png

πŸ”—New spec platform

wbamberg reported:

Working on the new spec platform: this week we've been simplifying the toolchain that builds and renders the spec, to make spec authoring easier and faster.

πŸ”—Dept of Servers 🏒

πŸ”—Synapse

callahad offered:

Note: We are aware of a trivially exploitable denial of service vulnerability in versions of Synapse prior to 1.20.0. Complete details will be disclosed on Monday, November 23rd. If you have not upgraded recently, please do so.

Happy RC day! The first release candidate of Synapse 1.23 is now available. For Synapse admins, we've added numerous new APIs thanks to contributions by @dklimpel, and we now support generating structured logs in a standard manner. The structured and drains logging options are now deprecated in Synapse's configuration.

Synapse 1.23.0rc1 also includes several significant bugfixes, especially around regressions in the SQLite-to-PostgreSQL database porting script, as well a fix to an issue that would prevent Synapse from recovering after losing its connection to the database. Synapse will also now reject modifications to access control lists which would otherwise result in a server blocking itself from a room. This is a particularly interesting case of unintended consequences in protocol design, and we hope to write more about it soon.

Next week should see the full release of 1.23, followed by a first implementation of MSC2403: Add "knock" feature landing in the development branch for 1.24. Look for more information in next week's edition of TWiM!

πŸ”—Dendrite

Dendrite is a next-generation homeserver written in Go

kegan said:

Neil is still working on P2P routing schemes and I am still working on Cerulean, but that doesn't mean nothing has happened this week! We've been busy reviewing PRs and have landed a big one this week:

  • Read receipts are now implemented (thanks @S7evinK!).

  • Usernames with = can now be created, in accordance with the spec.

Spec compliance has improved as a result:

  • Client-server APIs: 58%, up from 57% last week.

  • Server-server APIs: 83%, up from 81% last week.

πŸ”—Synapse Deployment πŸ“₯️

πŸ”—YunoHost

Pierre offered:

YunoHost is an operating system aiming for the simplest administration of a server, and therefore democratize self-hosting.

Synapse integration had been updated to 1.21.2 (1.22.1 available in branch testing)

Element Web integration had been updated to 1.7.12 (1.7.13 available in branch testing)

πŸ”—Dept of Clients πŸ“±

πŸ”—Hydrogen

Bruno said:

Hello all. Hydrogen gained emotes (/me) this week, together with file uploads and downloads! Also, encryption keys are setup while typing instead of after sending, so you should see less momentary "the sender hasn't sent the keys yet". Also a good number of bugs were solved. Next up: image uploads!

As expected, /me commands brought a chorus of:

now that you support commands, you must add the single most important command in any decent Matrix client

- tulir

Bruno got the idea pretty quickly:

/rainbow perhaps?

πŸ”—Element

Nad announced:

Hello TWIM! From this week on we're changing how we're reporting updates on the Element clients. Each week, we'll include a section for cross-platform feature work the Element team is working on, and some sections for platform specific work too.

Spaces (previously known as Communities)

Communities are back! They've been renamed to Spaces, and on the Element team we've been busy exploring user experience and critical thinking for MSC1772, to allow users to organise rooms into useful groups.

Social Login

In an effort to reduce friction in authentication, we've been R&Ding how to allow homeservers & Matrix clients to support multiple SSO providers.. Most of the work so far is captured in MSC2858 and we're starting initial implementations in Element web next week.

VoIP: Voice & Video Calls

We've started foundational research, design and engineering to improve both the usability and stability of native matrix VoIP in Element. We've also started to look at how we can improve the continuity of the user experience between native Matrix calls and our current implementation of Jitsi.

Usability

We've been focusing on improving post-registration actions all round to make Element provide better prompts for first actions, and empty states for views on all platforms, with a multitude of fixes having landed on Element Web, iOS & Android in the last week. We've also started paid user testing to better understand specific pain points in the first time user experience, which we're looking to improve significantly in the coming weeks.

Web platform

v1.7.13 is now live! Which includes a bunch of fixes & improvements on VoIP.

Android platform

v1.0.10 is now available on the Play Store. We're also doing ongoing work to catch up with feature parity to Element Web, and Dominaezzz is migrating SDK APIs to suspend functions: no more MatrixCallback!

iOS platform

v1.1.0 is soon to be live on TestFlight for beta testers, and we'll soon be turning our attention to fixing end-to-end encryption regressions.

πŸ”—Nheko

Nheko is a desktop client using Qt, Boost.Asio and C++17. It supports E2EE (with the notable exception being device verification for now) and intends to be full featured and nice to look at

Nico (@deepbluev7:neko.dev) reported:

  • You can now see yourself too during a video call.

  • You can change the ringtone, as the default can be a bit annoying.

  • Avatars should now not look as pixelated in some weird edge cases.

  • You can now add text after a /shrug command.

That's all, thank you trilene and MayeulC for the contributions!

πŸ”—Dept of SDKs and Frameworks 🧰

πŸ”—matrix_app_service.ex (Elixir SDK)

pierre told us:

We've (finally) released a first version of matrix_app_service.ex, an Elixir library for the application service API (hex, GitLab)

uhoreg (known Elixir fan, asked):

that's cool. Do you have any projects that are using it?

Pierre:

I don't want to "sell" it before there's some kind of poc, but with a few friends we're trying to build a bridge for ActivityPub. we're using the library of the same name by the people behind CommonsPub, of which a lot of code comes from Pleroma, so the application service appears as an ActivityPub server. it's still the beginning, and I'm just starting to think about which information a bridge needs to keep (I guess sometime I'll ask Half-Shot a big list of questions 😁)

Today might be our highest-ever Pierre-ratio in TWIM!

πŸ”—matrix-spring-boot-sdk

Benedict announced:

A new release integrates an embedded h2 database into matrix-spring-boot-bot, which makes it a lot easier to write bots with persistency. You only need a few lines of code to write simple bots (e. g. a ping bot). I also changed a lot under the hood (e. g. using type-safe Matrix-Id-classes instead of Strings).

πŸ”—matrix-sms-bridge

The matrix-sms-bridge now uses the h2 database from matrix-spring-boot-bot instead of neo4j, which makes it a lot more stable and fixes some bugs. We are using it in production with hundreds of target telephone numbers without problems. I also added an optional feature to use room aliases (e. g. #sms_4901234567:homeserver) to prevent multiple rooms with one target telephone number (which is still possible).

In a few weeks you can use this bridge with an old Android-Smartphone, which acts as an sms gateway with rest api.

πŸ”—Dept of Ops πŸ› 

πŸ”—matrix-docker-ansible-deploy

This Ansible playbook is meant to easily let you run your own Matrix homeserver.

Slavi announced:

Thanks to Scott Crossen's work, matrix-docker-ansible-deploy can now manage Dynamic DNS using ddclient.

To learn more, follow our Dynamic DNS docs page.

πŸ”—Dept of Bots πŸ€–

πŸ”—New Matrix chat bot, Mozilla-focus first

bnjbvr announced:

I've written a small blog post about a Matrix chat bot I've developed with matrix-js-bot-sdk, it was started to address Mozilla specific features first, but then I've added a few other generally useful features too! Hope you'll like it and find it useful!

#botzilla:delire.party is the room for discussion (thanks Davo)

πŸ”—Dept of Built on Matrix πŸ—οΈ

πŸ”—gurlic.com, new social network getting Matrix integration

ahq said:

Hello Matrix friends. I've been asked to share this here. I'm currently building a platform for building communities. I'm focused on deeper matrix integration with communities, private messaging built on top of matrix, and custom domain support. Feel free to check out https://gurlic.com. The matrix community is at https://gurlic.com/matrix, but I haven't had the time to post much.

We have communities (https://gurlic.com/space -> https://gurlic.space)

We have galleries (https://gurlic.com/art -> https://gurlic.art) We have publications (https://gurlic.com/classics -> https://classics.wtf)

We have user pages (https://gurlic.com/bob -> https://bob.monster)

The UI is a little confusing now because we have longform articles (https://gurlic.com/homer/the-iliad-book-ii) and short social media posts (https://gurlic.com/privacy/post/324848317844422661).

I pretty much want all resources to have custom domain support, and matrix rooms for all communities, and nested communities. In the near future, I hope to have matrix servers for custom domains too. And of course, the source will also be open if folks want to host.

Right now, users on gurlic get a matrix account, and communities/galleries/publications get a room too, but i'm hoping to take some time to look at much deeper integration. Dendrite and hydrogen are great to build on top off...

πŸ”—Dept of Ping πŸ“

Here we reveal, rank, and applaud the homeservers with the lowest ping, as measured by pingbot, a maubot that you can host on your own server. Join #ping:maunium.net to experience the fun live, and to find out how to add YOUR server to the game.

RankHostnameMedian MS
1maunium.net318
2neko.dev363
3finallycoffee.eu364
4chatcloud.net384
5envs.net586.5
6acmelabs.space640
7matrix.sp-codes.de696.5
8kernelpanic.cafe750
9casavant.org834
10matrix.thedisco.zone904

πŸ”—That's all I know 🏁

See you next week, and be sure to stop by #twim:matrix.org with your updates!

This Week in Matrix 2020-11-06

2020-11-06 β€” This Week in Matrix β€” Ben Parsons

πŸ”—Matrix Live πŸŽ™ Demos Week

Demos week is fun! Reminds me of walk-around-the-office-interrupting-people week, which we don't have any longer. :(

πŸ”—Dept of Status of Matrix 🌑

Open Tech Will Save Us #8 will take place next Wednesday, join us! Calendar event coming soon.

  • Muhammad Radwan, on behalf of Tactical Tech, will present their work on The Glass Room Misinformation Edition. What happens when we increasingly rely on social media and the web for nearly all our information? What information do we see, and what do we miss? How do we know if a picture or a tweet is genuine or truthful? And what can we do if we can’t be sure?
  • Popi from CHATONS will present the work done by CHATONS ("Collective of Alternative, Transparent, Open, Neutral and United Hosters") CHATONS has been initiated by Framasoft, in the wake of the success of its campaign "De-google-ify Internet". A CHATONS member pledges to propose fully FLOSS-based online services, in an ethical and united spirit.
  • Hubert|Uhoreg Chathi will present on the state of encryption in Matrix, and more broadly Why the PGP model is insufficient, what properties we want from encryption (e.g. why we want perfect forward secrecy), how the newer protocols (OTR, double-ratchet, megolm) give us some of the properties we want, and then what's coming in the future (MLS, and what that gives us)

πŸ”—Dept of Spec πŸ“œ

anoa said:

Here's your weekly spec update! The heart of Matrix is the specification - and this is modified by Matrix Spec Change (MSC) proposals. Learn more about how the process works at https://matrix.org/docs/spec/proposals

πŸ”—MSC Status

Merged MSCs:

  • No MSCs were merged this week.

MSCs in Final Comment Period:

New MSCs:

πŸ”—Spec Core Team

In terms of Spec Core Team MSC focus for this week, we're switching out MSC2765 (widget avatars) for MSC1544 (QR code verification), and keeping

MSC2774 (widget URL template param), and MSC2790 (modal widgets).

2020-11-06-w-Fgj-stacked_area_chart.png

πŸ”—Dept of Servers 🏒

πŸ”—Synapse

callahad offered:

Happy November from the Synapse team! As mentioned last week, we pushed a small v1.22.1 release last Friday which fixed two regressions:

  • Fix a bug where an appservice may not be forwarded events for a room it was recently invited to. Broke in v1.22.0. (#8676)

  • Fix Object of type frozendict is not JSON serializable exceptions when using third-party event rules. Broke in v1.22.0. (#8678)

If you haven't upgraded your Synapse in a while, please do.

A major focus of Synapse is being able to meet the performance and reliability needs of massive homeservers like matrix.org. If you're curious about how Synapse's architecture has evolved over the years to meet these scaling challenges, check our our blog post from Tuesday: How we fixed Synapse's scalability!

Lastly, we anticipate releasing 1.23.0 in the next fortnight; keep your eyes peeled for release candidates and let us know if you have any feedback. For a preview of what's coming, check out GitHub for the new commits that have landed on the develop branch since our last release.

PLUS Matthew said:

Synapse now horizontally scales across multiple python processes, as of 1.22: you can configure it so that events are no longer sent through the main proc, eliminating the single biggest bottleneck for large scale Synapse deployments. Read all about it at https://matrix.org/blog/2020/11/03/how-we-fixed-synapses-scalability

πŸ”—Dendrite / gomatrixserverlib

Dendrite is a next-generation homeserver written in Go

Neil Alexander told us:

Things have been quiet for Dendrite over the last week as I have been working on Pinecone/P2P and Kegan has been working on threading.

That said, a couple of minor changes have been merged:

  • Forgetting rooms is now supported (thanks S7evinK!)

  • The gjson dependency has been updated for correct integer safe ranges

Spec compliance is the same as last week:

  • Client-server APIs: 57%

  • Server-server APIs: 81%

As always, feel free to join us in #dendrite:matrix.org for general Dendrite chat or #dendrite-dev:matrix.org for development discussion.

πŸ”—Synapse Deployment πŸ“₯️

πŸ”—YunoHost

Pierre announced:

YunoHost is an operating system aiming for the simplest administration of a server, and therefore democratize self-hosting.

Synapse integration had been updated to 1.21.2 (1.22.1 available in branch testing)

Element Web integration had been updated to 1.7.9 (1.7.12 available in branch testing)

πŸ”—Dept of Bridges πŸŒ‰

πŸ”—Gitter

Eric Eastwood told us:

Exciting visual progress this week with actual bridging between Gitter and Matrix utilizing the virtualUser feature,

we've been iterating on the past couple weeks. Check out the image with all of the user avatars and display name goodness to make both chats on Element and Gitter feel one in the same!

You can also check out the live demo in Matrix Live!

2020-11-06-pC5bp-ScreenShot2020-11-06at12.23.37PM.png

πŸ”—Dept of Clients πŸ“±

πŸ”—Hydrogen

Bruno reported:

As mentioned in the sync on Monday, I was mostly distracted from Hydrogen this week. (sorry Bruno -BP) I did release the picture lightbox on Monday, and yesterday managed to close 4 bugs. There's also a community PR for better usability and accessibility in the login screen (keep those coming!) and after some work to make encryption more robust, I hope to do a release with all those goodies tonight.

Check out the demos vid for more Hydrogen!

πŸ”—Fractal

Alexandre Franke said:

Since a couple of weeks ago, we have merged a couple of branches that do a couple of things:

And here’s another nudge, calling for reviewers for that mega merge request for us to switch to matrix-rust-sdk.

πŸ”—Element for Android 1.0.10

benoit said:

Element for Android 1.0.10 has been released to the beta channel of the PlayStore. We will push it to prod if there is no major problem with it. Full release notes: https://github.com/vector-im/element-android/releases/tag/v1.0.10.

#1921 being fixed! ❀️

πŸ”—Element-iOS

Manu offered:

This week, we came back to the background sync work to quickly display a notified message in the app. In parallel, we created a profiling tool at the SDK level to track performance like this one.

πŸ”—Element Web/Desktop

Neil enunciated:

We are working through some low hanging fruit around post registration, blank screen interaction prompts and toast tweaks. We are also experimenting with SSO for matrix.org. Meaning that Element will give the user the option of either username/password or SSO. Finally, we are continuing our VoIP efforts and nailing down the designs, checkout Matrix Live for all the details. Next week we'll carry on with post registration UX, VoIP improvements.

πŸ”—Dept of SDKs and Frameworks 🧰

πŸ”—Matrix SDK for Elixir

cognitive_tea reported:

Hi all! I think this is the right place to share this 🀞. I've been working on a Matrix SDK for Elixir over the last few months as a side project, it's very early days and it's currently just a bare-bones wrapper for the Client-Server API. I've also written the Elixir/Erlang bindings for Olm (currently missing group sessions) which should be added to the SDK soon. The repo can be found here: https://github.com/niklaslong/matrix-elixir-sdk and the Elixir bindings for Olm are linked in the readme.

It is the right place! Thanks cognitive_tea :D

Asked if there were big plans for use of the project

Not as yet, though a few people have reached out to me already and are building on top of it. I started it as a way to get going with Matrix dev and as a fun side project. That being said, I think providing the tools to Matrix-enable Elixir apps might lead to some interesting things. If anyone has any precise ideas on how they would want to integrate their Elixir apps with Matrix, I'd be super happy to have a chat πŸ‘οΈ Less precise ideas are also welcome, of course πŸ™‚

πŸ”—Dept of Bots πŸ€–

πŸ”—Hemppa

Cos announced:

Hemppa the bot is a generic bot for writing modules as easily as possible in Python. Thanks to issues with Freenode IRC bridge Hemppa got a new module for basic relaybot bridging of any Matrix rooms. Relaybots are stupid, but sometimes there's no working alternative. https://github.com/vranki/hemppa#relay-bridge

πŸ”—Dept of Events and Talks πŸ—£οΈ

πŸ”—Arch Conf 2020

Brendan Abolivier reported:

I did a talk at Arch Conf 2020 last month, on a generic introduction of Matrix and how to install a Matrix homeserver on Arch Linux. The recording has just been uploaded; it can be found on CCC's media site as well as YouTube πŸ™‚

YES BRENDAN!

πŸ”—Matrix in the News πŸ“°

πŸ”—Oleg's talk, the article

emorrp1 told us:

New Matrix coverage in LWN via an Open Source Summit Europe talk https://lwn.net/SubscriberLink/835880/bd73956d4ceb6cf5/

See last week for the talk!

πŸ”—Final Thoughts πŸ’­

TeeCee reported:

I stumbled upon this: https://www.reddit.com/r/linux/comments/jozg0v/how_i_got_my_group_chat_to_move_to_matrix/

I love that the comments, even on Reddit, are mostly positive. A really nice report.

πŸ”—Dept of Ping πŸ“

Here we reveal, rank, and applaud the homeservers with the lowest ping, as measured by pingbot, a maubot that you can host on your own server. Join #ping:maunium.net to experience the fun live, and to find out how to add YOUR server to the game.

RankHostnameMedian MS
1envs.net556
2privacytools.io579.5
3maescool.be621
4casavant.org750
5apetre.sc750
6matrix.thedisco.zone1113
7matrix.org1159
8zemos.net1256.5
9matrix.sp-codes.de1263
10halogen.city2616

πŸ”—That's all I know 🏁

See you next week, and be sure to stop by #twim:matrix.org with your updates!

This Week in Matrix 2020-10-30

2020-10-30 β€” This Week in Matrix β€” Ben Parsons

πŸ”—Matrix Live πŸŽ™

sometimes you'll come across us at FOSDEM and we'll say "oh it's the future", and we're trying to make this an actual thing

- Half-Shot on getting from sci-fi to reality

πŸ”—Dept of Spec πŸ“œ

πŸ”—Spec

anoa told us:

Here's your weekly spec update! The heart of Matrix is the specification - and this is modified by Matrix Spec Change (MSC) proposals. Learn more about how the process works at https://matrix.org/docs/spec/proposals.

πŸ”—MSC Status

Closed MSCs:

Merged MSCs:

MSCs in Final Comment Period:

  • No MSCs are in FCP.

New MSCs:

Also heads up, the nomenclature for Communities v2 (groups-as-rooms) is now Matrix Spaces! Check out MSC1772 for the details!

πŸ”—Spec Core Team

In terms of Spec Core Team MSC focus for this week, we're continuing with the widget theme: MSC2774 (widget URL template param), MSC2765 (widget avatars), and MSC2790 (modal widgets).

2020-10-30-3sOdI-stacked_area_chart.png

πŸ”—New spec platform

wbamberg told us:

Updates on the new spec platform: we can render HTTP APIs (https://adoring-einstein-5ea514.netlify.app/spec/client-server/#login) and events (https://adoring-einstein-5ea514.netlify.app/spec/client-server/#room-events).

πŸ”—Dept of Built on Matrix πŸ—οΈ

πŸ”—Chupacabra Social

patrick told us:

From the creators of Noteworthy, introducing Chupacabra, a Matrix powered content sharing and discussion layer.

Video demo: https://youtu.be/hAouGTL7XAQ

Github: https://github.com/decentralabs/chupacabra

Join us in #chupacabra:chupa.social to learn more.

πŸ”—Dept of Servers 🏒

πŸ”—Conduit

Conduit is a Matrix homeserver written in Rust https://conduit.rs

Timo announced:

Hello everyone, I have some amazing news to share with you! While Conduit is getting better at federating, Famedly (https://famedly.com) has agreed to support me working on Conduit financially. With this news come some organizational changes:

Conduit development now happens at https://gitlab.com/famedly/conduit, please submit new issues and pull requests over there. I will update all links in the coming days.

Note: Famedly does not own the project and Conduit will stay free and open source forever!

πŸ”—matrix-media-repo

matrix-media-repo is a highly customizable multi-domain media repository for Matrix

TravisR announced:

v1.2.1 of matrix-media-repo, a third-party media repo for large homeservers, is out now. It's primarily a maintenance update though also has support for audio files if for some reason you need that.

2020-10-30-e_ntN-image.png

πŸ”—Synapse

callahad said:

Synapse 1.22.0 is out! We announced its first release candidate last week, and after a small rc2 the final release was published last Tuesday. We anticipate a small 1.22.1 release later today with fixes for messages not always being sent to app services (#8673) and serialization errors with third-party event rules (#8678).

We continue to see improved client join Apdex scores for matrix.org, indicating that our work in 1.22.0 to split background tasks into separate workers and allow for sharded event persisters successfully improved the user-visible performance of large homeservers.

In other news, we pushed a temporary hotfix to the matrix.org homeserver earlier this week, instructing it to drop all cross-user m.key_share_request messages. This was necessary to mitigate a bug in a third-party library which caused some clients to flood the server with requests. We'll re-enable these messages once we resolve issue #8677. In the meantime, we strongly encourage FluffyChat users to upgrade to version 0.21.1.

We're hard at work on the next release of Synapse, and the development branch already includes many bugfixes, several new admin APIs, and support for structured loggingβ€”stay tuned!

πŸ”—Dendrite

Dendrite is a next-generation homeserver written in Go

kegan said:

There is no release this week, be sure to have v0.2.1 installed for a more stable experience! A few documentation changes have been made this week:

  • Docker sample configs are now correct.

  • The MaxMessageBytes for Kafka messages is now configurable - thanks @S7evinK!

  • A reverse-proxy sample now exists for Hiawatha - thanks @ErgoPoe!

Spec compliance remains unchanged:

  • Client-server APIs: 57%

  • Server-server APIs: 81%

Things have been quiet this week because Neil has been working on new P2P routing schemes and I have been working

on a Threading proposal which will be tried out in Dendrite in the coming days.

πŸ”—Synapse Deployment πŸ“₯️

πŸ”—Kubernetes

Ananace announced:

Just pushed the Synapse 1.22.0 versions for my K8s-optimized image and Helm chart.

... πŸ•› time πŸ•— went πŸ•Ÿ by πŸ•₯ ...

Updated my Synapse chart and K8s-optimized image to 1.22.1 as well, and got the element-web chart updated to 1.7.12

πŸ”—YunoHost

Pierre reported:

YunoHost is an operating system aiming for the simplest administration of a server, and therefore democratize self-hosting.

Synapse integration had been updated to 1.20.1 (1.21.2 available in branch testing)

Element Web integration had been updated to 1.7.9 (1.7.10 available in branch testing)

πŸ”—Dept of Bridges πŸŒ‰

πŸ”—πŸŒˆπŸŒ‰ Bifrost reaches 0.2.0

Half-Shot reported:

Hey folks, today I bring you a gift wrapped rainbow coated present, which could only mean Bifrost 0.2.0 is out!.

We've been making major progress trying to align bifrost with the many XMPP clients out there like Gajim and Swift, by improving it's compatibility with the various XEPs. I've also noticed a few users have started using it to bridge their Matrix and XMPP communities together which is super cool :)

Please read the latest changelogs over at https://github.com/matrix-org/matrix-bifrost/releases/tag/0.2.0 and upgrade away!

πŸ”—Gitter

Eric reported:

The merge request for the native Gitter bridge has just got underway and we're making progress towards sharing all Gitter messages in public rooms across to Matrix.

We'll continue to iterate on the Gitter virtualUser support as we go along.

πŸ”—mautrix-telegram

Tulir said:

v0.9.0-rc1 was released last weekend. Changes since v0.8.x include:

  • Prometheus metric names are now prefixed with bridge_

  • Support for Telegram QR code login

  • Support for double puppeting for users on other servers

  • Options for automatic backfilling of missed messages and old messages when creating portals

  • Switched end-to-bridge encryption to use mautrix-python instead of the previous hacky matrix-nio solution

This week I fixed some bugs, so I'll probably make a rc2 in the near future.

πŸ”—Dept of Clients πŸ“±

πŸ”—Fluffychat 0.21.1 is released!

FluffyChat is a cute cross-platform matrix client. It is available for Android, iOS, Web and Desktop.

sorunome announced:

It is already in fdroid, google play and ios should follow shortly. We highly encourage people to update, as it contains an important bugfix of sending out way too many key requests, which can cause bad server performance

πŸ”—Features

  • New user viewer

  • Add code syntax highlighting in messages

  • Updated translations: Thanks to all helpers

πŸ”—Changes

  • Stories feature removed

πŸ”—Fixes

  • Fixes sentry

  • Fixes Android download

  • Minor fixes

2020-10-30-8rQ9F-img_20201029_152401.jpg

2020-10-30-DESJ--screenshot_20201029-152256_fluffychat.png

πŸ”—quotient

kitsune reported:

Hot on the heels of 0.0.9.5 beta, Quaternion 0.0.9.5 beta2 is released, fixing a couple of blunders, notably inability to build with external libQuotient. Keep testing, keep translating!

πŸ”—Hydrogen

Bruno announced:

Hydrogen can now show images in encrypted rooms! I hope to also release a lightbox feature this afternoon to show a zoomed version of an image.

πŸ”—Element-iOS

Manu announced:

This week, we have almost finished the authentication for widgets and jisti in particular. The project is now fully compatible with Xcode 12.

πŸ”—Element Android

benoit offered:

We are making progress on the performance side. Now sending an event is much faster than before. We also are optimizing the crypto code. All those improvements will be available in the next release (v1.0.10), maybe next week?

Besides that, we are implementing the remaining features, we are trying to have the same level of functionality (= parity) than Element Web. We know that we have a great number of bugs to fix on the existing feature, we are also trying to fight them.

As a reminder, the new Android Matrix SDK is available at https://github.com/matrix-org/matrix-android-sdk2 and a nice sample application has been developed and is available at https://github.com/matrix-org/matrix-android-sdk2-sample.

You had me at "progress on the performance side"! I am looking forward to the new Element Android :D

πŸ”—Element Web

Neil reported:

This week we shipped Element 1.7.12 which contains some high priority fixes, specifically:

  • Fixes secret storage / cross-signing reset to avoid asking for the previous key you no longer have
  • Fixes widget pinning and Jitsi calls when custom themes are used

Aside from that we continue to work on the voice and video calling experience as well as improving the initial onboarding experience of the app.

πŸ”—Nheko

Nheko is a desktop client using Qt, Boost.Asio and C++17. It supports E2EE (with the notable exception being device verification for now) and intends to be full featured and nice to look at

Nico (@deepbluev7:neko.dev) offered:

This was an exciting week again. Trilene did the usual and just opened a PR, that implements the video part of call support. In my testing so far this seems to work amazingly well (ignore, that my webcam is crappy in the video, I only have so many devices...)! It's hard to overstate my satisfaction, if I am allowed to quote songs without getting a DMCA! If you want to try it out, you will need the qmlgl plugin at runtime (I had to patch some ebuilds on Gentoo to do so) and build Nheko from source. Support in our AppImage and Flatpak and for our Windows and MacOS builds will come at a later date. A big shoutout to trilene, who just works on VOIP in Nheko, without saying a word, and then drops a ready PR.

Another exciting new feature by lorendb, you can now specify --profile <profilename>, when you start Nheko, to create a separate profile. This allows you to open multiple instances and use multiple accounts at the same time (but it still uses separate instances of Nheko). This is pretty useful, if you have multiple accounts on different homeservers or are testing stuff for example. He also added a shortcut to delete the current content of the message area (Ctrl-U).

We also fixed a long standing bug, that crashed Nheko when pasting an image on mac OS, prevented copying text in some cases and build times should be about halfed again.

That's all I got today. I guess we should do a new release at some point?

I asked about trilene, who is a reliable Nheko contributor, Nico replied:

trilene seems to be a bit camera shy and prefer to work on code than take credit and talk about upcoming features. I'm surprised everytime, when a new PR is opened or trilene asks a weird question, that can only end up in an amazing contribution :3

\o/

πŸ”—Dept of SDKs and Frameworks 🧰

πŸ”—matrix-bot-sdk 0.5.8 out now

TravisR told us:

matrix-bot-sdk v0.5.8 is out now with experimental support for EDUs being sent to appservices (per MSC2409).

To enable it you'll need Synapse 1.22.0 (released this week) and v0.5.8 of the bot-sdk. Then, add "de.sorunome.msc2409.ephemeral": true to your appservice registration file (at the root level) and turn on the de.sorunome.msc2409.ephemeral flag in your IAppserviceRegistration supplied to the bot-sdk. If all goes according to plan, you'll be able to use appservice.on("ephemeral.event", (ev) => {}) to start processing EDUs.

πŸ”—Dept of Ops πŸ› 

πŸ”—Icinga End-to-End Check

Nik said:

I hacked together a maubot-based roundtrip test that leverages the echo bot's ping command reply and reports rtt to Icinga as a passive check result. Its practical use is scientifically questionnable, but it gives a hint on end-user experience. Find it here: https://edugit.org/nik/maubot-pingcheck

πŸ”—Dept of Services πŸš€

πŸ”—Enabling encryption for bots on t2bot.io

TravisR offered:

Starting November 28th and 29th of this year, many bots on t2bot.io will be supporting end-to-end encryption. Though not all bots will be supporting it, this is an important milestone towards getting end-to-bridge encryption enabled on t2bot.io as a proof of being able to scale to the higher demand of encrypted rooms.

The eventual goal is to support encryption on all of t2bot.io’s bots and bridges, however we need to take small steps to get there πŸ™‚. Note that in order to function, bots will decrypt all messages they see, but only respond to the ones they care about - this can still be uncomfortable for some rooms though, so feel free to kick them out.

For more detail on which bots are getting support and what all this entails/means, please see the dedicated blog post.

We teased this a little on Matrix Live last week (I think?), but so awesome to see this publicly announced.

πŸ”—Keymaker (Serverlist Project)

MTRNord reported:

Keymaker is a new WIP Project of some people (over at #serverlist:nordgedanken.dev ) that aim to provide a mastodon alike Server List and we would love to get some more input from the Community for this project on whats wanted, whats needed and whats maybe not that good to base on the mastodon counterpart.

This means we are building:

  • A list of Servers where Owners can add their servers

  • We try to do Quality controls (No fully self add. Servers get reviewed.) using a Code of Conduct Ruleset

  • Verified Listings using well-known files on serverside (Also allowing Admins to modify server data themself)

  • Server Details like:

    • Ping and Availability Stats (thanks to tulir for providing a API)

    • Public Room Lists fetched from the Server

    • NSFW Ratings (A NSFW tag was too generic for us)

    • A Section to list Rules

    • Admin addresses for easy ways of reaching the Server admins

  • Allowing to select registration state ("Open", "Invite Only", "Closed")

The Code is fully written in Rust and using Postgres as a backend. Have a look at: https://github.com/daydream-mx/keymaker

Join us at: #serverlist:nordgedanken.dev

In a further post we plan to announce the launch of this Project as a Website. Server owners might get a ping before that to allow for setting up servers for this. This Project is not yet deployed to be used.

This is really cool. I suggested it might start to kickstart people hosting their own small, publicly open servers.

MTRNord replied:

As we also allow non public servers (registration -> closed) it may also be a nice way to find communities that federate and have a look if they have a interesting room to join in the public rooms list. :)

πŸ”—Dept of Bots πŸ€–

πŸ”—Bubo

kapina-jaywink reported:

Bubo, the community helping bot-in-progress, gets releases and a new command: breakout. The command can be used to create a breakout room from the current room. Bubo will create the room, invite and make the requester an admin, and confirm in the original room. Anyone who reacts with an emoji to the confirmation will get an invite to the breakout room. Currently breakout rooms are non-public and non-encrypted by default.

Find Bubo v0.2.0 here.

πŸ”—Dept of Events and Talks πŸ—£οΈ

πŸ”—Neil on being an eng manager

Neil announced:

Hey all, I do engineering managery stuff at Element, if you ever wondered what on earth that actually means, here is a video of me going on and on about it. https://www.youtube.com/watch?v=2NflccKdGqU

Sell it Neil! This is an insightful chat - if you're interested in the dilemmas and thoughts of an eng manager, be sure to check this out!

πŸ”—Dept of Ping πŸ“

Here we reveal, rank, and applaud the homeservers with the lowest ping, as measured by pingbot, a maubot that you can host on your own server. Join #ping:maunium.net to experience the fun live, and to find out how to add YOUR server to the game.

RankHostnameMedian MS
1maescool.be653
2aragon.space707
3envs.net800
4matrix.vgorcum.com828
5elcyb.org1044
6neko.dev1104
7fab.network1112
8mailstation.de1128
9aragon.sh1364
10dodsorf.as1605

πŸ”—That's all I know 🏁

See you next week, and be sure to stop by #twim:matrix.org with your updates!

This Week in Matrix 2020-10-23

2020-10-23 β€” This Week in Matrix β€” Ben Parsons

πŸ”—Matrix Live πŸŽ™

πŸ”—Dept of Spec πŸ“œ

TravisR offered:

Hello everyone, normally anoa would be doing this update but today you get me (TravisR) instead. Luckily anoa has left me a script to run, so here's hoping I haven't completely messed up this week's update πŸ˜…

Here's your weekly spec update! The heart of Matrix is the specification - and this is modified by Matrix Spec Change (MSC) proposals. Learn more about how the process works at https://matrix.org/docs/spec/proposals.

πŸ”—MSC Status

Merged MSCs:

  • Nothing to report 😒

MSCs in Final Comment Period:

New MSCs:

Closed MSCs:

πŸ”—Spec Core Team

In terms of Spec Core Team MSC focus for this week, we're still focusing on the same MSCs from previous weeks to get widgets over the line. This includes MSC2774 to have widgets aware of their widget ID, MSC2765 so widgets can be pretty in clients like Element, and MSC2790 to support a form of user input with widgets.

Normally there would be a graph here of our MSC progress, however my machine refuses to accept that line graphs are a real thing today. As a replacement, here's a snowfall accumulation graph for Banff as reported by Environment Canada.

πŸ”—Dept of Servers 🏒

πŸ”—mauliasproxy

Tulir told us:

I made a simple room alias proxy: https://mau.dev/tulir/mauliasproxy. It can be used to create room aliases on custom domains without having to host an actual Matrix homeserver there. The proxy basically just responds to federation room alias queries using data from another homeserver (that data is fetched with the C-S API).

πŸ”—Synapse

callahad reported:

A new release candidate appears! Synapse 1.22.0rc1 was published yesterday and includes support for running background tasks in separate worker processes, as well as fixes to sharded event persisters which were first introduced in 1.21.0.

These changes significantly improved our client join Apdex score for matrix.org by making join performance both faster and less variable.

2020-10-23-q7nrn-twim-synapse-2020-10-23-sparkles.png

Synapse 1.22.0rc1 also includes support for a few experimental MSCs:

  • MSC2732: Supporting olm fallback keys

  • MSC2697: Supporting device dehydration

  • MSC2409: Allowing appservices to receive ephemeral events like read receipts, presence, and typing indicators.

Lastly, the default room version is now version 6, per MSC2788.

In the coming weeks we'll focusing on improving Synapse's resilience in smaller to medium-sized deployments, primarily through improvements to state resolution. Stay tuned!

Thanks Dan!

Today's update comes courtesy of Dan Callahan (@callahad:matrix.org), who joined Element on Monday as an engineering manager supporting the Synapse team. Dan previously worked in Developer Relations at Mozilla, and he's excited to help Matrix realize its ambitious vision for private, secure, and standards-based communication for all.

πŸ”—Dendrite / gomatrixserverlib

Dendrite is a next-generation homeserver written in Go

Neil Alexander offered:

This week we released v0.2.0 on Tuesday, a reasonably big update containing various improvements over the initial beta release, and then followed it up with a bug-fix v0.2.1 release on Thursday.

Thanks to everyone who has been running Dendrite and reporting their findings, and also to contributors who have been submitting pull requests!

Changes this week include:

  • Dendrite no longer builds separate binaries for each polylith component, but instead has one multi-personality binary

  • Our Docker images have been simplified into two images: dendrite-monolith and dendrite-polylith

  • Internal HTTP API calls are now made using H2C (HTTP/2) in polylith mode, which resolves some head-of-line issues with the connection pool

  • Forward extremities have been refactored, which should fix some cases where room state can end up corrupted

  • A couple of bugs when handling state rewrites have been fixed

  • The sync API no longer sends old state events to clients as if they were new

  • SQLite locking bugs around the latest events updater have been resolved

  • Notification levels are now parsed correctly in power level events (thanks to Pestdoktor)

  • Invalid UTF-8 is now correctly rejected when making federation requests (thanks to Pestdoktor)

Spec compliance for v0.2.1:

  • Client-server APIs: 57%, up from 56% last week

  • Server-server APIs: 81%, up from 80% last week

As always, please feel free to join us in #dendrite:matrix.org for general Dendrite chat, and #dendrite-dev:matrix.org if you are interested in contributing!

πŸ”—Conduit

Timo stepped in to tell us:

This was another productive week:

  • Improved thumbnailing algorithm (higher quality, less stored data, correct)
  • Allow unjoined users to read state of world readable rooms (this makes shields.io work with conduit)
  • Docs for cross compiling conduit
  • Fixed stuck / double-join over federation
  • Fixed random timeline reload bug
  • Welcome message in admin room
  • More frequent flushing

Some WIP things:

  • Provide Conduit binaries for most platforms to make setting up or updating a Conduit instance even easier
  • More reliable sending over federation
  • Bring all features of our Ruma fork upstream

Thanks to everyone who supports me on Liberapay or Bitcoin!

πŸ”—Homeserver Deployment πŸ“₯️

πŸ”—Dendrite docker images

Dendrite is a next-generation homeserver written in Go

TR_SLimey offered:

I built some unofficial Dendrite docker images for Linux/ARM64, for those trying to run Dendrite on a Raspberry Pi, RockPro64 or others. They can be found here: https://hub.docker.com/r/trslimey/dendrite-monolith & https://hub.docker.com/r/trslimey/dendrite-polylith.

balaa reported:

Cool, we run Synapse on Pi0, Pi2 and Pi4 -- works reasonably well on each of them, i'm excited to try Dendrite

Synapse running on a Pi zero..?

πŸ”—Dept of Bridges πŸŒ‰

πŸ”—Gitter

Eric Eastwood announced:

The initial iteration of virtualUsers is in shape to merge(check out the flair πŸ”₯) and will probably deploy in a release next week. We've split the rest of the virtualUser work into follow-up issues we can iterate on. We're working on adding room ban and spam detection support for virtualUsers to stop any bad actors. Then want to start on the actual Application Service bridge (Gitter <-> Matrix).

2020-10-23-REdrD-5b2mZhH.png

If you're curious about more of the details, you can track the greater GitLab epic.

πŸ”—πŸŒˆπŸŒ‰ Bifrost* 0.2.0 is (nearly) out

Half-Shot offered:

I couldn't really wait to talk about before we actually hit 0.2.0 so here is a sneak peek at what's happening. We've spent a ton of time working on ironing out the bugs and making the bridge more XMPP complaint. The major headlines are:

  • Support Matrix -> XMPP edits

  • Set XMPP user displayname in the room based on their nickname (thanks uhoreg for mucking in there)

  • Improve performance of Matrix -> XMPP gateway messages and joining

  • Improve support for multiple devices for XMPP users connected to the gateway

  • maaaany bugfixes

You can read about (and run!) the latest release over at https://github.com/matrix-org/matrix-bifrost/releases/tag/0.2.0-rc1.

Incidentally, if you've not yet, then try joining some rooms such as #twim#matrix.org@matrix.org from XMPP and see it live!

*rainbum, as Mathijs prefers

πŸ”—Dept of Clients πŸ“±

πŸ”—Hydrogen

Bruno said:

Hydrogen gained a settings panel this week with a better session backup UX and your end-to-end device information, which should make the manual verification easier. Messages with multiple lines are also rendered as such now, which makes a big difference in usability. The app also works offline again after session backup broke that. Apart from that, several smaller fixes also landed.

2020-10-23-wMcAA-image.png

Also, image decryption is well on it's way with a prototype working. πŸŽ‰

πŸ”—Fractal

Alexandre Franke reported:

The massive MR to switch to matrix-rust-sdk is still being reviewed and help is still welcome. We have been working on other stuff as well. Actually, since our last news piece for the release of 4.4, quite a lot happened (around 60 commits) that we haven’t reported here yet:

  • Users can now go to the room settings to toggle notifications for each room individually.

  • Rounded corners around everything to match the latest upstream design tweaks (in Adwaita, the official GNOME theme).

  • Many maintenance changes: several dependencies have been updated, cleanups in various places, tightened flatpak permissions for better sandboxing…

And that’s not all! Good progress has been made towards rendering formatted_body. Hopefully that should be merged soon.

2020-10-23-yBL4B-image.png

πŸ”—Element Web

Ryan offered:

We released Element 1.7.10 on Tuesday with some high priority fixes:

  • Several bugs fixed for both all widgets as well as a few specific to Jitsi call widgets

  • Widgets are now working again in Safari 13.1 (regressed by 1.7.9)

Quite soon after that on Wednesday, Element Web 1.7.11-rc.1 made it's way to staging:

  • Improved state management for voice / video calls

  • Revamped pinned widget UI to support resizing and more flexibility

πŸ”—Fluffychat

sorunome told us:

Fluffychat 0.20.0 is out! It should be available in fdroid, google play and on iOS soon!

πŸ”—Features

  • Added translations: Arabic

  • Add ability to enable / disable emotes globally

  • Add ability to manage emote packs with different state keys

  • Add swipe to reply - Thanks @inexcode

  • Initial support for compiling to desktop

  • Initial snap metadata - Thanks @RAOF_47

  • Add latex parsing as per MSC2191 - $tex$ for inline and $$ for blocks

πŸ”—Changes

  • Re-scale images in a separate isolate to prevent the UI from freezing

  • URLs without https:// now linkify

  • Parse all URIs, not just URLs

  • emails will linkify now

  • Make sure login to dendrite is working properly

πŸ”—Fixes

  • Fix amoled / theme settings not always saving properly

  • Show device name in account information correctly

  • Fix tapping on aliases / room pills not always working

  • Link clicking in web not always working

  • Return message input field to previous state after editing message - Thanks @inexcode

2020-10-23-ufb7O-img_20201023_180547.jpg

MTRNord added:

perfect for university start. Finally I can write the thesis in the University matrix ;P

πŸ”—Element Android

benoit offered:

Element Android v1.0.9 is now available on the PlayStore. For the next release (1.0.10), we will optimize the performance (again!). We already have made some progress when sending a message to a room. We are now working on the crypto module and also we will probably upgrade the Realm database library, which seems more stable now. Besides that, we are still implementing the remaining features with the objective of getting a good feature parity with the other Element Matrix clients.

πŸ”—Element-iOS

Manu reported:

This week, we have been working to upgrade libs and tools to be compatible with Xcode 12.

We are making good progress to revive a kind of background sync so that a message appears quicker in the timeline when you tap on its notification. Authentication for widgets is still in progress.

πŸ”—Nheko

Nheko is a desktop client using Qt, Boost.Asio and C++17. It supports E2EE (with the notable exception being device verification for now) and intends to be full featured and nice to look at

Nico (@deepbluev7:neko.dev) said:

  • Nheko now shows the filename of an image on hover. (Contributed by kamath_manu)

  • Nheko now shows the fontname in the font selection rendered using that font. This makes it easier to know, how the font will look, once you select it. (Contributed by lorendb)

  • Fixed a crash when closing Nheko. While this didn't really cause issues, since you were closing it anyway, it's just bad form to crash instead of exit properly.

  • Removed the membercache. Nheko used to load all members on startup and store them in memory. This made startup slower. Removing it sped up the start by a nice chunk and freed about 30MB of RAM on my system. One step closer to using reasonable amounts of RAM!

  • Fixed excessive clipping when rendering the timeline. This prevented all batching of text messages. Now it only clips the replied to message, which makes scrolling much smoother again!

Finally, some controversial change, which is currently in master but may be reverted at some point: Nheko now automatically forwards keys to verified devices, when they request the keys, without prompting you. While that can be toggled off in the settings, it currently defaults to on. This weakens backward secrecy of e2ee a bit, but it makes it possible to recover from e2ee issues much more easily. Currently I'd argue, that it is an acceptable tradeoff. It is very hard to verify room membership of users at any point in time but the current one and room membership is not verified end to end in any way, so you need to trust the server to provide you with the correct memberlist or you just send keys to verified users. While Nheko still sends keys to all members of a room, when creating the session, it only forwards your own keys to trusted users without prompting you. Currently I think this is an acceptable tradeoff, as opening a popup with "user x wants to have session y shared in room z" is unlikely to be understood by anyone properly either. I'd be glad to hear your opinions though!

That's it for this week, but next week will be interesting too. Lorendb has been hacking on profile support, allowing you to run multiple login sessions of Nheko in separate windows and some other UI features.

πŸ”—Dept of SDKs and Frameworks 🧰

πŸ”—Ruma

iinuwa reported:

In the past couple of weeks we implemented the last endpoint for the Federation

API. We are working on smoothing out some rough edges in the ruma-federation-api crate, like a few that @Timo addressed this past week, so it will be a little while

before it's completely finished.

We've also created a milestone to track implementation of Identity Service API,

the last Matrix API we have to complete.

Finally, we've created a new Matrix room focused on Ruma development,

#ruma-dev:matrix.org, focusing the original room #ruma:matrix.org on Ruma usage.

πŸ”—quotient

kitsune told us:

Quotient 0.6.2 has been released, with a couple of minor bugfixes. This release is used as a foundation of Quaternion 0.0.9.5 beta that's also getting out today - with support of (proper Matrix subset of) HTML, rich text user links (like pills, only lighter), initial Markdown support (if you build with fresh enough Qt), reactions (thanks to Karel Kosek @krkk), navigation to earlier events (thanks to Roland Pallai @rpallai) and quite a few other improvements. To make this release Quaternion had to gain its own basic HTML parser and Matrix-to-Qt-to-Matrix converter, which is likely to end up being a separate micro-library, in the hope that it will be useful for other Matrix projects building on Qt (even non-Quotient ones). A separate call to translators - quite a few strings got updated, so please head to Quaternion project at Lokalise and push the numbers at least to 80%!

πŸ”—Dept of Events and Talks πŸ—£οΈ

Three talks this week!

πŸ”—Matrix talk at Open Source Summit EU (virtual)

Oleg announced:

If you are visiting the OSS EU next week - come to the Matrix talk. πŸ˜‰

Or join us at #welcome:osseu2020.fiksel.info !

πŸ”—dette er pΓ₯ utenlandsk

dandellion reported:

In august I held an introduction to and demo of matrix talk during a conference hosted by my local makerspace.

This week the talk was uploaded! (Norwegian) https://www.youtube.com/watch?v=s9Xd0Wg_XqA

πŸ”—AstriCon Plan (9) on building Omnichannel contact centers with Matrix (and other tech)

Matthew said:

Jose Franco gave a great talk at AstriCon Plan (9) on building Omnichannel contact centers with Matrix, Asterisk, Kamailio and friends. You can see the video at https://youtu.be/7S6GZz8f91o?t=18558 and the talk details at https://astricon2020.sched.com/event/e0GA/blending-open-source-rtc-tools-to-build-an-omnichannel-contact-center

πŸ”—Dept of Interesting Projects πŸ›°οΈ

πŸ”—Noteworthy (matrix powered distributed overlay networks via WireGuard)

balaa told us:

hey TWIM peeps! we’ve updated the README for our project Noteworthy (matrix powered distributed overlay networks via WireGuard) https://github.com/decentralabs/noteworthy - join us over in #noteworthy:tincan.community with questions / comments!

πŸ”—Dept of Ping πŸ“

Here we reveal, rank, and applaud the homeservers with the lowest ping, as measured by pingbot, a maubot that you can host on your own server. Join #ping:maunium.net to experience the fun live, and to find out how to add YOUR server to the game.

RankHostnameMedian MS
1maescool.be528
2chatcloud.net533.5
3matrix.thedisco.zone654.5
4pc.koesters.xyz:59003779
5shortestpath.dev817.5
6helderferreira.io851.5
7aragon.sh898
8pleasecuminside.me1176
9dodsorf.as1253
10envs.net1304.5

πŸ”—That's all I know 🏁

See you next week, and be sure to stop by #twim:matrix.org with your updates!

This Week in Matrix 2020-10-16

2020-10-16 β€” This Week in Matrix β€” Ben Parsons

πŸ”—Matrix Live πŸŽ™

In which I chat with Kitsune about the work done to get a Matrix URI schema agreed, and the state of the work.

See also, Open Tech Will Save Us #7 took place this week! Go watch.

πŸ”—Dept of Status of Matrix 🌑️

πŸ”—Meta-counting

As a crude measure of growth, Matthew commented about #twim:matrix.org:

I love that this room has ~700 people in it, spread over ~350 servers :D

That is something to love. Come join us in the room to share your news and see what's new from others.

πŸ”—Elokapina (Extinction Rebellion Finland) migrates to Matrix

kapina-jaywink told us:

In recent weeks the XR Finland community has been moving over from Wire to our own Matrix homeserver for encrypted secure chat. This was something that had been planned for a while but kicked off in recent weeks due to Wire suffering from serious encryption key delivery issues, causing messages for many to be unreadable in large groups. Currently we've migrated almost 300 rebels with more to come. Feedback has mostly been very positive, people generally like the Element clients 🀩 One of the interesting changes has been a huge uptick in the amount of discussion, which can be taken as a good sign. The plan is to next start bridging to some of the international XR chapters, for example those on Mattermost, Telegram and Slack. And maybe get them over to Matrix too eventually ;)

To aid in community management, we've started creating a bot called Bubo. Right now it mostly helps with maintaining rooms and allowing mass invites, but more features to help the community cooperate are coming. We were planning to utilize (actual) communities so it has some functionality for those, but decided then to wait for the communities rewrite. It doesn't yet have any releases, will update in coming weeks as features are added and releases made.

kapina-jaywink also

wants to clarify that XR is a decentralized movement and this does not mean other chapters will adapt Matrix - but we can hope and for sure here in Finland we'll be spreading the good experiences to other chapters ;)

πŸ”—Dept of Spec πŸ“œ

πŸ”—New Spec Website!

wbamberg told us:

We're working on a new platform for the specification docs, aimed initially at improving navigation and general usability.

The initial demo site is at https://adoring-einstein-5ea514.netlify.app/spec/ and the main tracking bug is at https://github.com/matrix-org/matrix-doc/issues/2822

πŸ”—Spec

anoa reported:

Here's your weekly spec update! The heart of Matrix is the specification - and this is modified by Matrix Spec Change (MSC) proposals. Learn more about how the process works at https://matrix.org/docs/spec/proposals.

πŸ”—MSC Status

Merged MSCs:

  • No MSCs were merged this week.

MSCs in Final Comment Period:

  • No MSCs are in FCP.

New MSCs:

πŸ”—Spec Core Team

In terms of Spec Core Team MSC focus for this week, widgets are still the main focus: MSC2774 (widget URL template param), MSC2765 (widget avatars), and MSC2790 (modal widgets).

2020-10-16-KA5Yo-stacked_area_chart.png

πŸ”—Dept of Servers 🏒

πŸ”—Dendrite / gomatrixserverlib

Dendrite is a next-generation homeserver written in Go

Neil Alexander reported:

We released our first beta last week and we've been busy taking feedback from the community and fixing problems as they have been reported to us. We will be cutting a v0.2.0 release candidate later today, which contains a significant number of important fixes and performance improvements.

We didn't publish a full changelog last week due to the beta announcement, therefore the following list includes changes from the last two weeks:

  • Database migrations are now ran automatically at startup

  • State resolution v2 performance has been improved dramatically on large state sets, seen to be running up to 20x faster in some rooms

  • Dendrite no longer runs state resolution over single trusted state snapshots

  • Monolith deployments with Kafka now work again (each component sets up connections independently to avoid duplicate consumers)

  • Dendrite now correctly rejects invalid UTF-8 - thanks to Lesterpig

  • Fully read markers are now handled - thanks to Lesterpig

  • The completed field is now returned properly for user-interactive auth - thanks to Lesterpig

  • The devices table now tracks last seen timestamps, IPs and user agents - thanks to S7evinK

  • A bug has been fixed in the reverse topological ordering algorithm which resulted in us giving up on inbound references after the first prev/auth event

  • A bug with concurrent map writes in the rate limiting in the client API has been fixed

  • Forward extremities and their previous events are now checked fully against the database

  • Typing events are now ignored if the sender domain doesn't match the origin

  • Duplicate redaction entries no longer result in database errors

  • Some bugs in /send have been fixed where the full room state wasn't requested properly before sending a new snapshot to the roomserver

  • The membership updaters now use database writers properly, which fixes some SQLite locking issues

  • The sync API no longer burns CPU processing unnecessary device key change notifications

  • QueryStateAfterEvents now resolves state from multiple snapshots properly

  • Cumulative room state is now sent to the roomserver when creating rooms locally

  • Missing auth events will now be retrieved from multiple servers in the room if necessary

  • Federation requests now have variable timeouts, allowing us to wait much longer for a remote server to process certain tasks

  • The /send endpoint now returns 500 errors far less often, reducing the frequency that other servers back off from sending to Dendrite

  • Backfill no longer uses the request context for persisting events, which was resulting in us failing to store those events sometimes

  • Invite stripped state from the sync API now includes the stripped invite itself, so that Element Web can display who sent the invite properly

  • The signing key fetch mechanism no longer gives up if it is unable to fetch specific keys

  • Handling of invalid display name or avatar URLs in membership events has been improved

Spec compliance has improved a little:

  • Client-server APIs: 56%, same as last week

  • Server-server APIs: 80%, up from 79% last week

As always, please feel free to join us in #dendrite:matrix.org for general Dendrite chat, and #dendrite-dev:matrix.org if you are interested in contributing!

Good grief that's a big update! For a video discussion of the status and future of Dendrite, check out Open Tech Will Save Us #7.

Matthew added:

my personal dendrite is now in roughly the same set of rooms as my personal synapse. Dendrite is idling at 180MB of RAM, Synapse is idling at 1.8GB of RAM :)

πŸ”—Conduit

Timo:

Hello everyone, this week we merged the federation branch into master. It's not ready to be used properly yet, but we're merging it as it seems stable enough for now. We also improved performance of the federation branch a lot by turning off debug logs.

Other news:

  • I opened two issues on element-ios which currently break register and login support on Conduit, making it completely unusable. Hopefully they can be resolved soon (https://github.com/vector-im/element-ios/issues/3736, https://github.com/vector-im/element-ios/issues/3737)
  • I'm working on an MSC for threading. It's still WIP, but you can take a look here: https://demo.codimd.org/s/SykbuAUwP

Thanks to everyone who supports me on Liberapay or Bitcoin!

πŸ”—Synapse

Neil offered:

Stonking week for Synapse as we landed sharded event persisters and deployed to matrix.org. This is the last significant component other than the main process to go through the sharding process and a major hurdle in horizontal scalability of Synapse.

Initial results look good with event persistence apdex improving, however we think there are still some significant performance improvements available through configuration and will continue to experiment.

2020-10-16-I-Plk-Screenshot2020-10-16at17.23.31.png

We also moved off background processes from the main process. This is significant because it means that while the main process is not shardable it really doesn’t do anything anymore other than orchestration.

Again the initial impact looks very promising and we will continue to tune. Having moved the background processes away it also makes profiling the main process that much easier.

2020-10-16-fuKDh-main-cpu2.png

Aside from all of that we continue to progress room knocking put out a 1.21.2 - a bug fix release though please please ensure you are running at least Synapse >= 1.21.0 since 1.21.0 contains a XSS security fix.

Next week we will carrying on tuning matrix.org and start to look at improving state resolution performance.

πŸ”—Synapse Deployment πŸ“₯️

πŸ”—Kubernetes

Ananace told us:

Just pushed the updated image tags and chart version for my K8s-optimized Synapse image for version 1.21.0, as well as a chart update for element-web 1.7.9

then later

And to expand on my previous update, got Synapse 1.21.2 up on the chart and K8s-optimized image.

πŸ”—YunoHost

Pierre said:

YunoHost is an operating system aiming for the simplest administration of a server, and therefore democratize self-hosting.

Synapse integration had been updated to 1.20.1 (1.21.0 available in branch testing)

Element Web integration had been updated to 1.7.8 (1.7.9 available in branch testing)

πŸ”—Dept of Bridges πŸŒ‰

πŸ”—Bridges increase their presence

Half-Shot told us:

Small bit of news I wanted to talk about from Bridge Island. My implementation for MSC2409 has been merged which means appservices / bridges can now listen in for incoming presence, typing and read receipt events! This means that the Slack bridge can now reliably send your typing status to Slack, and Bifrost can reliably bridge your everything to XMPP. The MSC is still in flux and could change, but for now this could really improve the native feeling of bridges :)

(Oh and I should mention anyone using matrix-appservice-bridge v2.2.0+ can use this behaviour for free)

πŸ”—mautrix-python implements Half-Shot's new features

Hot on his heels, Tulir announced:

I've been adding support for the MSCs Half-Shot implemented in Synapse to my bridges:

  • Enabling end-to-bridge encryption now uses appservice login (MSC2778), which means setting up the shared secret login module is no longer required for e2be.

  • mautrix-python has support for receiving ephemeral events via MSC2409 in a branch, which will be merged once Synapse v1.22 is released. After it's merged, /syncing with double puppets will no longer be necessary to bridge ephemeral events.

Both of these will also be implemented in mautrix-go/whatsapp soon.

Now I just need Half-Shot to make synapse send to-device events to appservices, after which bridges won't need any hacky /syncing at all.

πŸ”—Dept of Clients πŸ“±

πŸ”—Hydrogen

Bruno offered:

Several releases this week (0.1.11 to 0.1.15) with lots of changes:

  • url-based navigation has landed! All navigation in the app is now done through urls, meaning you can also bookmark any UI state (e.g. grid configurations).

  • fixed 2 memory leaks (exposed now because you can unload your session without refreshing the page)

  • fixed an issue with libolm running out of memory if you send a message to more than 44 devices (see issue #150).

  • some logical additions now we have url navigation: restoring the last url when opening the app with the default route, and a button to close your session and go back to the picker.

  • the app now blocks concurrent access to the same session from different tabs (it just closes the session in the non-active tab). This will prevent multiple syncs tripping over each other writing to indexeddb (e.g. ConstraintErrors and friends).

  • updates are announced in the app (for now through a confirm dialog, but will use an in app notification once we have it)

  • fixes updates not installing on iOS, by having an update prompt. To get this update on iOS though, you'll need to unpin the app, and pinning it again. You'll need to login again after this. All future updates should be installable through the update prompt once you have 0.1.15 though, you won't have to do this again normally.

  • uses the hydrogen icon when pinning on iOS

I really recommend hitting https://hydrogen.element.io/ - what great progress!

πŸ”—Element Android

benoit reported:

We are currently preparing the release of the version 1.0.9 of Element Android, which contain searching messages in clear rooms and a lots of other improvements and new features.

The SDK 1.0.9 will also be released, with an updated readme, and a brand new sample app, written by Ganfra. It will help developers to start using the new SDK and can be found here: https://github.com/matrix-org/matrix-android-sdk2-sample. This sample app is able to let the user connects to an existing account on any homeserver with password login, display the room list, display a room timeline and send message to a room. a brand new sample app

YES! This is the best documentation

πŸ”—Element-iOS

Manu offered:

This week, we released 1.0.16 on the App Store (and TestFlight).

πŸ”—Konheko (Sailfish client)

Nico (@deepbluev7:neko.dev) offered:

I published the first preview of my Sailfish client called Konheko. While you can run Android applications on Sailfish, they usually are a subpar experience, since they really don't fit the platforms design and style and also usually don't properly send notifications.

So about a year ago I started working on a Matrix client for SailfishOS, but I never really made much progress. Well, last weekend I did, and so it can now send plain text messages as well as various forms of media messages, I made a basic application icon and I've been using it this week already (for unencrypted rooms).

It is still missing a lot of features, but if you want you can install it from OpenRepos. Sources are available here. Just be aware, that it currently stores all messages in RAM, so every restart will take forever to load your rooms and it may run out of RAM at some point. Storing messages in some database will come at some point. Also, a lot of menus may lead nowhere, since those are just placeholders for me atm.

2020-10-16-QApie-Bildschirmfoto_20201016_002.png

2020-10-16-I5_7M-Bildschirmfoto_20201016_007.png

πŸ”—SchildiChat Web/Desktop

SpiritCroc announced:

Recently, I tweaked Element-web to feature a few changes similar to SchildiChat for Android.

For now, it's probably best seen rather as a proof-of-concept than a finished product, as there are still some layout bugs, and no settings available for the added features (I know some people prefer separate lists for direct and group chats). I consider it usable though.

Particular changes compared to upstream Element-web include:

  • A common section for groups and direct chats in the overview

  • Message bubbles

  • Bigger items in the room overview

  • A different dark theme, similar to SchildiChat for Android

I don't know how much I will work on this in the future, but I figured it might be interesting to share either way. Maybe even someone with more web-development skills than me might want to help improving it :)

For further discussion, I have created #schildichat-web:matrix.org .

The current version of SchildiChat-Desktop is available for Desktop here, and I host the web variant here. If you want to build it yourself, check out this repo.

2020-10-16-oMUqR-1.png

πŸ”—Element Web

Neil offered:

Element 1.7.9 has landed, highlights include

  • Many small fixes with edits and replies

  • Fixed a race during cross-signing key upload at registration time

  • Clarified when you have unsaved changes in profile settings

Aside from that has been pushing on with the widgets project. A picture says a thousand words, so here you go.

2020-10-16-wZher-image.png

As you can see T3chguy was really pleased to have me interrupt him to take this picture. Expect the new design to merge next week.

Finally we will most likely ship a new release next week to fix some Jitsi bugs.

πŸ”—Dept of Ops πŸ› 

πŸ”—Wake-on-LAN bot

JCG announced:

I wrote a Wake-on-LAN bot to wake up hosts by sending a matrix message. It is configurable with multiple hosts and has a list of users per host who are allowed to wake it up. It's using the matrix-rust-sdk, source is available over at https://git.jcg.re/jcgruenhage/matrix-wol, and if anyone has questions, feel free to join #matrix-wol:jcg.re.

When I asked what this is used for:

I have stuff on my workstation that I need access to most of the time, but keeping it running uses too much power (but I did it anyway so far), this is so that I can suspend it when I leave but can still power it on when I need something from there on the got

πŸ”—Dept of Events and Talks πŸ—£οΈ

πŸ”—Talking about Bridges and Bots in Matrix (German)

Oleg announced:

I was invited to the German Podcast MacMittwoch (no, it's not only about Macs) to talk about Bridges and Bots in Matrix. It was a very interesting and funny round.

Here is the recording:

πŸ”—Dept of Interesting Projects πŸ›°οΈ

πŸ”—matrix-emoji-upload

mewmew offered:

This is a script I've created for use with MSC2545. It allows easy uploading of emoji packs to Matrix rooms. Feel free to check it out on Gitea, or join the project room #matrix-emoji-upload:blob.cat if you have any questions/comments/issues.

πŸ”—n8n.io support

Matthew announced:

n8n.io (FOSS extendable workflow automation) just added Matrix support! https://n8n.io/integrations/n8n-nodes-base.matrix and https://github.com/n8n-io/n8n/pull/1046

Exciting! Yet the saga that followed only adds to the excitement!

First Oleg noticed a problem:

Could it be that only matrix.org as HS currently is supported?

I'm getting Matrix credentials are not valid! and I see the request to matrix.org on a traffic capture.

jaywink discovered the alarming truth:

the original PR mentions mantrixorg indeed: https://github.com/n8n-io/n8n/pull/1024 .. sounds like PR time for someone :)

Tulir, like a coiled spring, provided a PR:

well now it's a pull request https://github.com/n8n-io/n8n/pull/1065

...

oh nice it got merged already

Faelar noticed:

For those not following on github, n8n released a new version including the fix for homeserver

Oleg, who brings us back to the start said:

Just tested it.

It works! πŸ₯³

Open Source!

πŸ”—Dept of Ping πŸ“

Here we reveal, rank, and applaud the homeservers with the lowest ping, as measured by pingbot, a maubot that you can host on your own server. Join #ping:maunium.net to experience the fun live, and to find out how to add YOUR server to the game.

RankHostnameMedian MS
1imninja.net466.5
2midov.pl531
3mdpnd.ch540
4chatcloud.net569
5elcyb.org801
6fab.network967
7conduit.rs1168
8envs.net1863.5
9blob.cat2660
10aragon.sh2743.5

πŸ”—That's all I know 🏁

See you next week, and be sure to stop by #twim:matrix.org with your updates!

This Week in Matrix 2020-10-09

2020-10-10 β€” This Week in Matrix β€” Ben Parsons
Last update: 2020-10-09 20:29

πŸ”—Matrix Live πŸŽ™

πŸ”—Dept of Status of Matrix 🌑️

πŸ”—Matrix in use at IETF and TeamSpeak

Matthew said:

IETF is trialling Matrix as a replacement to Slack and a complement to XMPP: https://mailarchive.ietf.org/arch/msg/tools-discuss/cUd9P35cj-nGsaioZ9HmMLmf1G4/

ALSO

Matthew commented:

looks like teamspeak is using Matrix (a Matrix endpoint was previously noticed at https://tschat-1.teamspeak.com/)

Nico (@deepbluev7:neko.dev) offered:

More info here: https://community.teamspeak.com/t/teamspeak-development-status-update/11419/36

πŸ”—Dept of Spec πŸ“œ

anoa told us:

Here's your weekly spec update! The heart of Matrix is the specification - and this is modified by Matrix Spec Change (MSC) proposals. Learn more about how the process works at https://matrix.org/docs/spec/proposals

πŸ”—MSC Status

Merged MSCs:

MSCs in Final Comment Period:

  • No MSCs are in FCP.

New MSCs:

πŸ”—Spec Core Team

In terms of Spec Core Team MSC focus for this week, we're going to be keeping the same three MSCs as last week, as their review is still a work in progress. As a reminder, those are MSC2774 (widget URL template parameters), MSC2765 (widget avatars), and MSC2790 (modal widgets).

2020-10-09--3RtA-stacked_area_chart.png

πŸ”—Dept of Servers 🏒

πŸ”—Dendrite goes beta

Dendrite is a next-generation homeserver written in Go

kegan told us:

Dendrite has officially entered beta!

It aims to be an efficient, reliable and scalable alternative to Synapse.

We encourage early adopters to try it out starting with v0.1.0 in Monolith/Postgres mode.

Dendrite supports a large amount of the Matrix spec including:

  • All room versions

  • E2E encryption (but not cross-signing)

  • Federation

  • and many others!

We'll be hard at work in the coming weeks ironing out any issues that crop up as Dendrite enters the global

federation of Matrix servers. At present, Dendrite has not been optimised for memory/CPU usage, nor does it fully support sharding, so there is still much scope to improve the already impressive resource usage whilst

heading towards 100% spec compliance.

Spec compliance:

  • Client-Server APIs: 56%, same as last week

  • Server-Server APIs: 77%, same as last week

stefan announced:

I created an AUR package for dendrite. So it is easy to get it running on Arch Linux.

πŸ”—Conduit

Conduit is a Matrix homeserver written in Rust https://conduit.rs

timo told us:

This week I worked on a new feature: the Admin Room. This is a room that is automatically created for the first user of a new homeserver. This room will be used to send warnings to server admins in the future and can be used to control Conduit (like querying information, running cleanup, banning servers, hiding public rooms or restarting Conduit). Power levels can be used to control who in the room has access to which commands. The admin room will work over federation, so it's easy to help someone fix his server.

Other news:

  • Federation is now disabled by default and can be enabled in the config

  • Bug with typing notifications is fixed

Thanks to everyone who supports me on Liberapay or Bitcoin!

πŸ”—Synapse

Neil told us:

This week we put out v1.21.0rc3, which fixes a duplicate messages bug. We expect the full release to go out early next week.

After a long and sometimes painful journey we plan to run sharded event persisters on matrix.org from Monday. All being well we will start running background processes on their own worker to free up the main process. These two projects combined should noticeably improve performance of matrix.org and any large scale deployments.

Aside from that we are continuing to work on room knocking as a feature and have been considering ways to reduce load attributable to state resolution.

We will also dust off the notifications project.

πŸ”—Dept of Bridges πŸŒ‰

πŸ”—Gitter

Eric Eastwood told us:

The native Gitter <-> Matrix bridge is underway and we're working on virtual users which is the first piece to making the bridge feel native. You can see what this will look like in this ominous and exciting tweet: https://twitter.com/gitchat/status/1314252991705292800

There is also a GitLab epic you can track which breaks down some of the tasks and holds more details of what we're thinking of for the bridge.

πŸ”—πŸŒˆ Once more into the Bifrost

Half-Shot announced:

Asgardians rejoice, for Bifrost development resumed this week! We've worked extremely hard this week to improve general gateway performance, edge case bugs and basically plowing on with the project. A 0.2.0 release will shortly be due with the new changes, and matrix.org is already running the latest and greatest. You can checkout the project over at https://github.com/matrix-org/matrix-bifrost

πŸ”—Dept of Clients πŸ“±

πŸ”—Fractal

Alexandre Franke reported:

Former Fractal GSoC intern Alejandro Dominguez 😎️ got his Integrate matrix-sdk (I) merge request in β€œReady for review” state. That’s a +3910/-5439, 38 commits diff‼️ poljar, who is the main contributor of matrix-rust-sdk, already had a look and provided some insights, but given 😱️ the sheer size of the changeset, the moar πŸ‘€οΈ we can get on it the better.

πŸ”—fluffychat

krille offered:

FluffyChat now runs on native Linux desktop (x86).

You can download Linux tarballs from the CI and run them on any system which has sqlite3 installed (which all distros may have). If you have libolm3 installed, you can also use e2ee. Oh and by the way. Its NOT electron or any html5 stuff! Its a native Linux app. We are working on packaging solutions like snap and Flatpak. 😊

πŸ”—Vtx

CraftedCart offered:

I've started to make a Matrix client over the past few weeks, just as a hobby project for now, using Qt and a 'lil C++20! :D

There's not a whole lot to show right now - currently we've got password login, and a simple timeline that can show plain text or m.image thumbnails.

Source code's up at https://gitlab.com/CraftedCart/vtx

2020-10-09-TATmq-vtx_main.png

πŸ”—Nheko

Nheko is a desktop client using Qt, Boost.Asio and C++17. It supports E2EE (with the notable exception being device verification for now) and intends to be full featured and nice to look at

Nico (@deepbluev7:neko.dev) reported:

This week we finally cleaned up the remaining parts of Chethans GSoC work and merged it. This means Nheko now has partial support for cross-signing. You can either start the verification from another client or when viewing the profile of a user. There are a few things still missing though:

  • Nheko does not use the verification status at all at the moment. So while you can verify your master key and let others verify your master key, from Nhekos perspective there is not much benefit yet. You will however show up with a green checkmark in other clients.

  • While nheko supports verifying your own master key and after that will also let others verify your master key, it does not yet download the self and user signing keys. This means you won't be able to upload cross-signing signatures for your own devices and other users master keys yet. I'll see if I can implement in the next weeks or so (since literally only the private key download or sharing is missing).

  • Nheko can't bootstrap cross-signing yet. This means you need to bootstrap it from Element or another client once. That will probably take a bit until this is complete.

  • The UX is still WIP. Currently it shows a lot of unnecessary buttons, that are a bit confusing as well as not enough green checkmarks, so that needs some work.

Other things that happened in the mean time or are work in progress:

  • Decryption errors should be reduced by a bit now. This is still work in progress though. With device trust landed now, we should be able to do automatic key requests, sharing and key backup soon.

  • Lurkki is currently cleaning up the design of the built in video player.

  • manu_kamath is improving the design when showing images at the same time.

  • LorenDB has been updating our screenshots and working on an Esperanto translation.

  • trilene has been ever busy improving edge cases around the Voip support in Nheko.

So far Hacktoberfest seems to be going well with quite a few people trying to clean up some of the rougher edges in Nheko. If you are using Nheko and think some things could be better, why not try to fix it yourself? October is the perfect time for that!

Featurework of this cycle is also slowly nearing its end. Once cross-signing, voip and the new event store are stable, we plan to improve the UX a bit more as well as some other annoyances and maybe we can do a new release then! A nice and spooky Hacktober everyone!

David Mehren told us:

I just built nheko-git 0.7.2.r2021.517a126a-1 from the AUR and cross-signing works

πŸ”—Element Web

Neil offered:

This week we put out 1.7.9-rc.1 which is available atΒ https://staging.element.io

Highlights include

  • Many small fixes with edits and replies

  • Fixed a race during cross-signing key upload at registration time

  • Clarified when you have unsaved changes in profile settings

Finally, the improved widget support is looking very exciting. Here is a design grab to give you an idea of what to expect. Note this is not a real Element screen shot, the base functionality is there, but the look and feel of the final version is subject to change.

2020-10-09-oANj9-widgets.png

Michael (t3chguy) added:

Element Web is currently transitioning the codebase over to TypeScript - track our progress at http://arewetsyet.bit.ovh/

πŸ”—Hydrogen

Bruno told us:

This week, Hydrogen gained better caching (and a little over-eager on Safari), room list filtering, a grid layout to show up to 6 rooms simultaneously (see screenshot) and work is well on its way for url-based navigation within the app.

2020-10-09-taU-L-hydrogen-grid.png

also adding the screenshot on iOS that I didn't get in last week, showing the full range of display formats supported πŸ™‚

2020-10-09-OJHmu-hydrogen-ios.jpg

The app also received some visual polish, thanks to Nad, our designer.

πŸ”—Element-iOS

Manu offered:

We blocked the last week release (1.0.14) because of 2 issues: Unable to decrypt errors and timeline not updating when coming from a notification.

1.0.15 fixes those issues and more. The release should be available in TF soon. Hopefully, we will be able to publish it on the App Store on Monday

πŸ”—Dept of VoIP πŸ€™

πŸ”—Matrix VoIP Tester

reivilibre said:

https://github.com/matrix-org/voip-tester/pull/18 (updated demo: https://test.voip.librepush.net)

This week, I have improved the scoring rubric, so that the verdict given to you by the tester more accurately reflects the likelihood of connection establishment.

I have also added more hints on what the verdicts mean.

Finally, I have added workarounds to support Chromium browsers that decided to break their WebRTC API so that they could pedantically rename ip to address. In any case, it now seems to be on par with Firefox.

The VoIP tester is now roughly 'usable' but please note that IPv6 support is totally untested (I don't have IPv6) β€” it is also suspected that some browsers won't try IPv6 anyway.

There are also some more features on the wish list, such as screenshot safety and extra help when things go wrong.

For discussion, feel free to join #voip-tester:librepush.net .

πŸ”—Dept of Encryption πŸ”

πŸ”—Olm 🦎

uhoreg reported:

Versions 3.2.0 and 3.2.1 of libolm have been released. 3.2.0 supports fallback keys (MSC2732) in the C library and the JavaScript binding, and includes several JavaScript/TypeScript fixes and improvements. 3.2.1 was just a fix to the TypeScript definition file.

πŸ”—Dept of SDKs and Frameworks 🧰

πŸ”—Ruma

Ruma is a Rust project to create a comprehensive set of APIs for Matrix. Previously there was a Ruma homeserver project.

jplatte said:

This week, q-b implemented moderation policy events, bringing us to full compatibility with r0.6.1 of the client-server API. iinuwa added the only endpoint we were missing from the appservice API. Additionally, I improved Ruma's JSON canonicalization, making it both simpler and more efficient.

Due to two issues regarding future-compatibility, we're still a while away from our next set of releases, but we're working on it!

πŸ”—New library: ObjMatrix (Objective-C)

js introduced it with:

ObjMatrix (GitHub) is a new Matrix client library written in modern Objective-C for ObjFW. Because it uses ObjFW, it is not limited to Apple platforms, and instead is extremely portable and should run on basically everything.

This is currently in its very early stages and is intended to be suitable to develop bots and clients with very soon. Being suitable to develop bridges with it is another goal for later.

Since ObjFW also works on platforms that are usually hard to support or port software to (e.g. MorphOS), this will hopefully also bring clients for these less mainstream operating systems. I'm especially hopeful about MorphOS here, since ObjFW already runs quite well there (parts of it are included with the OS even!), and hardware on which MorphOS runs on is usually not powerful enough to run Element Web. And eventually, I will want to have a Matrix client on my Amiga, too πŸ˜‰ (which this should enable).

This currently does not have a decicated Matrix room yet, so all discussions about it currently happen in #objfw:nil.im. So please feel free to join there and follow along development. And contributions are of course very welcome!

πŸ”—Dept of Ops πŸ› 

πŸ”—famedly.matrix ansible collection

JCG told us:

the famedly.matrix ansible collection has seen a release v0.2.0. Highlights since the last TWIM mention:

  • synapse_register: a new module for registering users using synapse's admin API.

  • matrix_member: another new module, for inviting/kicking/banning people to/from rooms.

  • updates to synapse and element have been merged into their roles

  • support deploying release candidates of synapse and element

πŸ”—Dept of Guides 🧭

πŸ”—Noteworthy Hub Guide

balaa told us:

We’ve put together a write up on how to deploy a Noteworthy Hub (transparent TLS proxy) in order to make it easy to run a federation capable matrix home server behind a firewall or NAT: https://noteworthy.tech/hub

πŸ”—Dept of Ping πŸ“

Here we reveal, rank, and applaud the homeservers with the lowest ping, as measured by pingbot, a maubot that you can host on your own server. Join #ping:maunium.net to experience the fun live, and to find out how to add YOUR server to the game.

RankHostnameMedian MS
1helderferreira.io487
2heitkoetter.net627
3asra.gr802
4conduit.rs1178
5matrix.thedisco.zone1275.5
6shortestpath.dev1803
7lelux.net2419
8elcyb.org2685
9test.zemos.net2800
10blob.cat2882

πŸ”—That's all I know 🏁

Thanks anoa for TCB* the last two weeks! Was fun to be the one to read TWIM for myself. :D

See you next week, and be sure to stop by #twim:matrix.org with your updates!

* Taking Care of Business

This Week in Matrix 2020-09-18

2020-09-18 β€” This Week in Matrix β€” Ben Parsons

πŸ”—Matrix Live πŸŽ™

πŸ”—Dept of Status of Matrix 🌑️

πŸ”—Element review by TechRadar

TechRadar have published a fairly thorough Element secure messenger review. This covers the Web, Android and iOS clients, and appears to use the matrix.org server for signup.

The review is very positive, awarding 4.5/5, and concludes:

The Element messenger platform scores highly for its approach to security and its commitment to decentralization, and it's definitely going to be of interest to businesses wanting control over their own chats – as well as plenty of individual users as well.

πŸ”—Dept of Spec πŸ“œ

πŸ”—Spec

anoa told us:

Here's your weekly spec update! The heart of Matrix is the specification - and this is modified by Matrix Spec Change (MSC) proposals. Learn more about how the process works at https://matrix.org/docs/spec/proposals.

πŸ”—MSC Status

Merged MSCs:

  • No MSCs were merged this week.

MSCs in Final Comment Period:

New MSCs:

πŸ”—Spec Core Team

In terms of Spec Core Team MSC focus for this week, MSC1960 has made it into FCP, so this week our focus is MSC2414.

2020-09-18-8BoQF-stacked_area_chart.png

πŸ”—Dept of Servers 🏒

πŸ”—Synapse

Neil announced:

This week we put out two point releases to fix critical bugs. At the very least ensure that you have upgraded to 1.19.2 which is a security release but you may as well go the whole hog and upgrade to the hot off the press 1.19.3. We will release 1.20.0 early next week.

Aside from that we continue to work on performance analysis and the sharding of the event persister continues - it’s proving to be a really tough job but we are getting there. We’ve also been making progress on the room knocking implementation

This week we say goodbye to Oliver (reivilibre) as a leaving present he fixed a long standing bug that prevented servers catching up after a federating outage and as we speak is furiously trying to finish a service to test TURN configuration. Thanks Oliver!

πŸ”—Dendrite / gomatrixserverlib

Dendrite is a next-generation homeserver written in Go

Neil Alexander said:

Not much has happened this week, as the Dendrite team have been taking some time off. However, we still have a couple of changes to report:

  • Support for rejected events has been merged

  • Work on soft-fail has begun (although not complete yet)

  • A new mechanism for avoiding SQLite parameter limits was contributed (thanks HenrikSolver!)

Spec compliance is on the up:

  • Client-Server APIs: 56%, same as last week

  • Server-Server APIs: 74%, up from 71% last week

πŸ”—Conduit

Conduit is a Matrix homeserver written in Rust https://conduit.rs

timo announced:

Welcome back! This week we made some groundbreaking progress - this is not a joke, we found a bug in Synapse while breaking multiple Matrix rooms, causing the Matrix team a lot of unnecessary stress. Let me explain: The good news is that Conduit is starting to federate now. This means that you should be able to join all public rooms of the Matrix network and exchange messages. Note that Conduit does not do all the checks it should be doing yet making it stop sending messages from time to time as well as that advanced features like loading the history, syncing temporary data like read receipts or accepting invites are not implemented yet.

The bad news is that, while Synapse is happy to accept Conduit's messages when it is already part of the room, joining into one of the rooms Conduit servers are part of didn't work because of an event validation bug. The Matrix team did an excellent job at fixing this bug and releasing a Synapse patch the same day, but the damage has been done making a few rooms inaccessible to old Synapse servers. Thanks to everyone who supports me on "Liberapay" (https://liberapay.com/timokoesters) or Bitcoin!

πŸ”—Synapse Deployment πŸ“₯️

πŸ”—Synapse on NetBSD

js reported:

I ported Synapse + its dependencies to NetBSD and it is now in pkgsrc as chat/matrix-synapse. This means that Synapse is now easily installable on any operating system that supports pkgsrc (which is many, e.g. NetBSD, Linux, macOS, Solaris, AIX, Haiku, …). And while at it, I also ported mautrix-hangouts + dependencies (in pkgsrc as chat/mautrix-hangouts).

πŸ”—YunoHost

Pierre told us:

YunoHost is an operating system aiming for the simplest administration of a server, and therefore democratize self-hosting.

Synapse integration had been updated to 1.19.1 (1.19.2 available in branch testing)

Element Web integration had been updated to 1.7.5 (1.7.7 available in branch testing)

πŸ”—Kubernetes

Ananace offered:

Both image tags and a new chart version are hereby pushed for 1.19.2 for my Synapse image and Helm chart

then later

Just pushed the updates for the K8s-optimized Synapse image and chart for 1.19.3

πŸ”—Dept of Bridges πŸŒ‰

πŸ”—matrix-appservice-bridge hits 2.0.0ʳᢜ¹

Half-Shot said:

Hey bridge developer enthusiasts! Myself and ChristianP (bridge crew of matrix.org) have been working hard on freshening up the matrix-appservice-bridge library. It's no secret that it was using "classic" Javascript rather than ES6 syntax, was poorly documented in places and there were no types at all to make use of.

But that's all changed now, the 2.0.0-rc1 release brings fresh types, new convenience methods, a total swichover from Bluebird Promises to native Promises and much much more. If you are looking to quickly get set up writing bridges, it's never been easier.

Check out the slack-starter project to get your first taste of bridge excellence and see what you think.

As this is an RC, feedback is valuable and logging bugs helps us all. Please do so if you encounter any issues πŸ˜„

πŸ”—Bridge Encryption Support

Half-Shot reported:

Hi encryption fans. This week the bridge team has been churning away at adding support for encrypted rooms in the matrix-appservice-bridge library, to enable support in matrix-appservice-irc, matrix-appservice-slack, and anyone else using the library. This is probably the most exciting feature the library has seen in a long time!

The feature will be a simple config toggle, so existing bridges will have to do very little work to support it.

The first phase plans to use Pantalaimon with bridge users syncing like real users, but eventually the hope is that this will be all built into the library. Come check out this issue to keep track of progress.

πŸ”—Dept of Clients πŸ“±

πŸ”—Element Web

Neil announced:

  • Released 1.7.6 and 1.7.7 highlights include

    • Redesigned right panel where top right actions are now revealed via the i icon

    • Widgets can now be opened in the right panel

    • Widgets won't be visible in the Apps Drawer (top of timeline) by default (except Jitsi) - you need to pin them from the right panel

    • Widgets can now be resized

  • A new feature to defer e2ee set up until the user actually wishes to use an e2ee channel.

  • A series of config flags to remove various features from the UI thereby simplifying the experience.

πŸ”—Mirage

miruka said:

0.6.3 and 0.6.4 were released this week, and I'm now working on desktop notifications support and push rules control.

πŸ”—Added

  • Add a system tray icon.

    A left click will bring up the Mirage window, middle will quit the application and right will show a menu with these

    options.

  • Add a closeMimizesToTray setting to the config file, defaults to false.

    Controls whether closing the Mirage window will leave it running in the system tray, or fully quit the application.

  • Add a discrete read marker indicator to messages, shows how many people

    have this event as their last seen one in the room.
    A way to see who read the message and when will be added in the future.

  • Themes: add chat.message.localEcho and chat.message.readCounter color properties

  • Add a zoom setting, defaults to 1.0

  • Add a lexicalRoomSorting setting, to sort rooms by their name instead of

    recent activity.
    A restart is needed to apply changes to this setting.

πŸ”—Changed

  • Restrict Mirage to a single instance per config folder, trying to launch a

    new window will instead focus the existing one.
    The MIRAGE_CONFIG_DIR and MIRAGE_DATA_DIR environment variables can be

    set to run different "profiles" in parallel.

  • Reduce the visible lag when opening a chat page, switching rooms should be

    a lot smoother

  • When using the focusPreviousMessage and focusNextMessage keybinds, if no

    message is focused and the timeline has been scrolled up, focus the message in the center of the view instead of returning to the

    bottom of the timeline and focusing the last one.

  • Don't re-center the room list on clicks by default.

    This prevents the list from jumping around every time a room is selected.
    The previous behavior can be restored with the new centerRoomListOnClick

    setting.

  • Show a better terminal error message than "Component is not ready" when the

    window creation fails, giving details on what went wrong in the code

  • If an account's access token is invalid (e.g. our session was signed out

    externally), say so with a popup and cleanly remove it from the UI, instead of spamming the user with errors.

  • Rename message context menu option "Debug this event" to just "Debug"

  • Unify up/down and (shift+)Tab navigation for the account Sessions page

  • Changes to the UI scale/zoom via keybinds are now persisted across restarts

  • Themes: uiScale is now bound to window.settings.zoom.

    This change is necessary to keep the zoom keybinds working.

πŸ”—Fixed

  • A bunch of stuff, see the full changelog for 0.6.3 and 0.6.4

πŸ”—Element Android 1.0.7

benoit offered:

Element Android 1.0.7 has been released (still stuck in Google pipes writing those lines), and will be quickly followed by 1.0.8 to fix a problem with cross signing verification.

We are working to implement search of messages in a room and we keep on fighting bugs and improving performance of the application.

We are also iterating on the home screen, to improve user experience, and try to satisfy users with a few rooms as well as users with several hundreds of rooms.

πŸ”—Element-iOS

Manu said:

This week, we released 1.0.12 with several bug fixes including the one for background crashes due to PushKit

πŸ”—Hydrogen

Bruno told us:

Released 0.037 on Monday with some polish for E2EE:

  • remove outdated devices when querying

  • update room summary with decrypted events, also when retrying decryption

  • various crash protections

  • keep megolm session with earliest index when receiving a room key we already know about

  • add new icon

  • fix issue where olm would be loaded twice when login failed

  • show decryption errors in timeline

  • show encryption enabled tile in timeline

The rest of the week was implementing session backup, which I hoped would be ready to release today but it needs some more polish unfortunately. In the meantime, here's a GIF teaser:

2020-09-18-uMR7F-session-backup.gif

πŸ”—FluffyChat

Thank you to Krille, who told us:

FluffyChat version 0.18.0 is out now in F-Droid, Testflight and soon the PlayStore:

πŸ”—Features

  • Added translations: Armenian, Turkish, Chinese (Simplified), Estonian
  • Url-ify matrix identifiers
  • Use server-side generated thumbnails in cleartext rooms
  • Add option to send images in their original resolution
  • Add additional confirmation for sending files & share intents
  • Add option to opt-in to report issues / crashes to sentry
  • Write keys to online key backup, fully implementing online key backup

πŸ”—Changes

  • Tapping links, pills, etc. now does stuff
  • Better handling of sending messages in bad network
  • Better recovery of "keys not cached"
  • E2EE is enabled again

πŸ”—Fixes:

  • Various html rendering and url-ifying fixes
  • Added support for blurhashes
  • Image viewer now eventually displays the original image, not only the thumbnail

πŸ”—Dept of SDKs and Frameworks 🧰

πŸ”—Hemppa

Hemppa the bot is a multi-purpose Matrix bot for writing new functionality easily with Python.

Cos said:

Hemppa gained a small but big feature for making fediverse better: per-room Mastodon tooting support. This means that you can set up a Mastodon account in your room and anyone with moderator rights can toot to that account. This way you and your roommates can super easily send toots to the world directly from Matrix. Mastodon (unlike the big alternative) supports RSS feeds out of the box so it's very easy to subscribe to users and hashtags with stock RSS bot. Toot #hemppathebot if you like it! Another new contribution worth mentioning is welcome which can send welcome messages to users registering on the server or joining a room. https://github.com/vranki/hemppa

πŸ”—Ruby

Ananace said:

Another week, another Ruby SDK release. This time adding a little fix to avoid duplicate state events being passed twice to the application if identical ones arrive in both state and timeline, also adds a global state event handler and moves room event handling to not depend on room instances themselves.

Asked how much the SDK is used in production, Ananace said:

a little, we've hooked Matrix into our server orchestration / configuration management system TheForeman - which is a Rails application. Also got a colleague who's doing a bot to linkify internal ticket IDs.

πŸ”—Ruma

iinuwa told us:

Thanks to @q-b and @jtescher we have implemented more of the federation endpoints (bringing us up to about 85% completion) and every (one) endpoint of the Push Gateway API!

We fixed a bug where federation endpoints expected access tokens instead of server signatures for authentication. In the future, we may add an API that requires signatures on requests.

Finally, we've also continued progress on the non-exhaustive type updates for backwards compatibility; we expect to finish this within the coming weeks.

πŸ”—New Contributors

πŸ”—Dept of Bots πŸ€–

πŸ”—Matrix Reminder Bot

anoa announced:

v0.2.0 of matrix-reminder-bot has been released! This releases includes lots of bugfixes, updates and polishing. Find the list below:

πŸ”—Features

  • Better support for command prefixes other than the default !.

  • Just writing !silence now silences the currently active alarm.

  • The bot will now print the correct syntax of a command if the user fails to follow it.

  • The bot will reply to events if it cannot decrypt them, as well as offer helpful tips that both the user and bot operator can try to fix things.

πŸ”—Bugfixes

  • Timezones. They should finally work correctly! ...no 100% guarantees though.

  • Alarms were a bit broken. They're fixed now.

  • Fix commands with formatting and newlines not being picked up by the bot.

  • Fix non-latin characters preventing reminders from being deleted.

πŸ”—Internal changes

  • Add a dev-optimised Dockerfile for quicker iteration during development.

  • Better wording revolving alarms. They're just reminders that alarm repeatedly when they go off.

  • Log why the bot is unable to start.

  • Don't print "Unknown help topic" in case the user is trying to ask another bot for help.

  • The config dict is now a singleton.

  • Type hints everywhere!

Additionally, the minimum Python version is now 3.6. matrix-reminder-bot is made with nio-template.

πŸ”—Dept of Ping πŸ“

Here we reveal, rank, and applaud the homeservers with the lowest ping, as measured by pingbot, a maubot that you can host on your own server. Join #ping:maunium.net to experience the fun live, and to find out how to add YOUR server to the game.

RankHostnameMedian MS
1fairydust.space412
2matrix-dev.kapsi.fi1308
3utzutzutz.net1519
4blob.cat1521
5r23s.eu1915.5
6conduit.rs2149
7maescool.be2759
8halogen.city2774.5
9uraziel.de3253
10kapsi.fi3713

πŸ”—Dept of Ping Extra:

timo announced:

Normally the ping shows how long other servers take to receive the sending-server's message. Some servers receive it quickly, some take hours. All this flows into the statistic of the sending server. I wrote a small program that's the other way around. Instead of measuring the sending-server's ping, it associates each measurement with an echo-bot (instead of the sending server), so this plot shows which maubots are the fastest to respond (it's probably not accurate at all, because most of the pings were started on conduit servers this week, but it's interesting nevertheless):

2020-09-18-PRR99-image.png

πŸ”—That's all I know 🏁

See you next week, and be sure to stop by #twim:matrix.org with your updates!

This Week in Matrix 2020-09-11

2020-09-11 β€” This Week in Matrix β€” Ben Parsons

πŸ”—Open Tech Will Save Us #6

From the schedule:

  • Ag3m, from La Quadrature du Net joins to present "Some thoughts on moderation and censorship in a decentralised world".
  • Sean DuBois (Sean-Der), WebRTC-knower and author of WebRTC for the Curious discusses his recent work in the space. https://webrtcforthecurious.com
  • Damir JeliΔ‡ presents the latest news on the Matrix Rust SDK

Open Tech Will Save Us is also available in audio form as a podcast in all the usual places!

πŸ”—Dept of Status of Matrix 🌑️

πŸ”—GSOC project reports

We had a bumper summer this year, with SIX students successfully completing their projects. So far three project reports have been published:

Expect to see the next three reports next week.

πŸ”—LinkΓΆping University

Alexander Olofsson announced:

Since we suddenly have multiple projects that've separately gone on to trial our new and shiny Matrix-on-location for multiple respective use-cases, from conferences to anonymous - encrypted - support chats, we've had to end our soft-launch period very quickly.

Oh dear.

For minutes, confusion reigned in the chat about just what this meant! Fortunately, clarity arrived:

To clarify; Ending the soft-launch period means that we've now gone on to a full launch, with public announcements and everything else that includes

\o/

πŸ”—Dept of Spec πŸ“œ

anoa told us:

Here's your weekly spec update! The heart of Matrix is the specification - and this is modified by Matrix Spec Change (MSC) proposals. Learn more about how the process works at https://matrix.org/docs/spec/proposals.

πŸ”—MSC Status

Closed MSCs:

Merged MSCs:

  • No MSCs were merged this week.

MSCs in Final Comment Period:

  • No MSCs are in FCP.

New MSCs:

πŸ”—Spec Core Team

In terms of Spec Core Team MSC focus for this week, the widgets spec and related MSCs are still being completed, however is formally removed from the focus list for this week. In its place we've put something in a very similar vein: MSC1960 (OpenID Connect exchange for widgets).

We had another long overdue Spec Core Team retro this week. On the whole it felt very productive, and we've hopefully helped identify some key issues and actions going forward to help internally organise the way the team spends time on MSCs (read: unblocking review progress from the team).

We're still working out our exact strategy asynchronously at the moment, so expect more details to follow soon.

2020-09-11-yd96P-stacked_area_chart.png

πŸ”—Dept of Servers 🏒

πŸ”—Synapse

Neil reported:

This week we put out a new release candidate for Synapse 1.20.0, highlights include shadow ban support, more async/awaiting and unread message counts being added to sync responses to support upcoming notifications work.

Aside from that Erik has been continuing to get event persistence sharding ready for shipping. He already has a working version, but currently all workers will run at the speed for the slowest instance. Once that is fixed we will put it on matrix.org to see how it performs.

Patrick has finished up on asyncing all the things, and is now studying flame graphs to figure out where all the cycles on the main process are going.

Andrew has been taking a look at the knocking MSC, expecting concrete progress in the next few weeks.

Brendan has been working notifications support and is currently in VoIP land helping Dave on trying to level up our VoIP support.

Finally Oliver has dusted off his TURN tester from last Summer to get it working before he returns to university. The idea is that it will act a bit like the federation tester for but for TURN configuration.

πŸ”—Conduit

Conduit is a Matrix homeserver written in Rust https://conduit.rs

timo announced:

Hi everyone, Devin R and I are working on state resolution, hopefully we have something exciting to show you next week. I also worked on the remaining key backup endpoints, so for example deleting backups works as expected now. Thanks to everyone who supports me on Liberapay or Bitcoin!

πŸ”—Dendrite

Dendrite is a next-generation homeserver written in Go

kegan told us:

This week we have been continuing work on the beta task list:

  • The current state server has been removed.

  • Joining rooms over federation is now more reliable as a single faulty event will no longer fail the request.

  • Support for database migrations has been added.

  • Various bug fixes to reduce the number of database is locked errors on SQLite.

  • Experimental support for peeking has been added - See MSC2753

  • DENDRITE_TRACE_SQL will now additionally trace unsafe goroutine writes that do not use ExclusiveWriter.

  • The README has been updated with hardware requirements.

Spec compliance remains the same this week:

  • Client-Server APIs: 56%, same as last week.

  • Server-Server APIs: 71%, same as last week.

πŸ”—Dept of Clients πŸ“±

πŸ”—Hydrogen

It's been a big week for Bruno:

Released 0.0.36 with end-to-end encryption enabled! πŸŽ‰
Most of this week was spent on performance improvements for IE11, where asm.js runs quite slow. Decryption is run in parallel on 4 workers in that browser, giving a massive speed-up and added responsiveness (the UI would freeze for 7 seconds when opening a room prior to this). There is still some polishing to do on sharing room keys, which I will get to next week, but all in all, it should work well. Next week I also want to get started on supporting key backup, so you can also read your encrypted history from before you logged in.

Get the latest: https://github.com/vector-im/hydrogen-web/

πŸ”—Element Web

Neil (same fellow from earlier) reported:

Element 1.7.6-rc.1 is now available at https://staging.element.io:

  • Redesigned right panel where top right actions are now revealed via the i icon
  • Widgets can now be opened in the right panel
  • Widgets won't be visible in the Apps Drawer (top of timeline) by default (except Jitsi) - you need to pin them from the right panel
  • Widgets can now be resized

Coming up:

  • Continue work on deferred cross-signing setup
  • Our new Matrix.to should get it’s first release
  • General bug fixes around threepid invites

πŸ”—Element for Nextcloud

Gary Kim said:

Element for Nextcloud (formerly Riot Chat for Nextcloud) has released v0.6.5 and v0.6.6. In this update, Element Web was updated to v1.7.5 and support for adding a custom integration server in the config through the settings UI and support for Nextcloud 20 was added.

Join the development Matrix room at #elementfornextcloud-general:garykim.dev.

Check out the source code here.

πŸ”—Element Android 1.0.6

benoit told us:

We have released Element Android 1.0.6. Now we are working on sync mode for F-Droid version of the application (i.e. without FCM). We are also improving the experience with 1-1 calls.

πŸ”—SchildiChat for Android

SpiritCroc said:

Element v1.0.6 has been merged into SchildiChat.

Furthermore, following Schildi-specific fixes and improvements are included in the latest update:

  • Fixed message bubbles clipping italic text

  • Less wasted bubble space in some scenarios

  • Deleted messages are now hidden by default in the chat overview

  • Display the year in the chat list for old chats

  • The inclusion of chats without notification in the overview's unread counter, which I added last week, is now optional

To be clear, Element v1.0.6 has been upstreamed into SchildiChat, the projects have not merged.

πŸ”—Element-iOS

Manu told us:

This week, we released 1.0.10 which provides PIN protection and the return of the incoming native call screen. Then, we started to update room creation flows with new icons and behaviors for creation buttons and a new screen for room creation.

πŸ”—Maunium sticker picker

This isn't strictly a client, but it's in the clients section.

Tulir announced:

Getting stuff into the spec or even implemented in Elements is very slow, so while we wait for proper native sticker packs and pickers (i.e. not in an iframe/webview), I decided to make a better sticker picker widget: https://github.com/maunium/stickerpicker

The goal is to be as fast and simple as possible. The picker and sticker packs are just some static files that can be served anywhere (no compilation required). It doesn't require self-hosting anything except said static files, and it has been confirmed to work on all three Elements.

There's a Telegram import script that's used to reupload stickers to Matrix and generate the static sticker pack files that the picker widget uses. It's technically also possible to make the sticker pack files yourself, but there's no easy way to do that yet.

Due to the simplicity of the picker there's no authentication, which also means everyone sees the same sticker packs. One way to get around that limitation is to have a unique URL for each user. I'll probably write a bot to manage copies of the picker for multiple users in the future.

Other future improvements include remembering frequently used stickers (surprisingly, all three Elements keep localStorage for widgets), importing Telegram animated stickers and searching for stickers by emoji/name

later more words appeared from Tulir:

Since the initial announcement, my sticker picker has received some more features:

  • Added a slider to configure the number of stickers shown per row

  • Frequently used stickers now show up at the top

  • Imported all the packs from Scalar (the default integration manager)

A model of productivity, Tulir also announced:

my sticker picker has dark theme support too now

πŸ”—Dept of SDKs and Frameworks 🧰

πŸ”—Ruby

Ananace said:

Just bumped the Matrix Ruby SDK to version 2.1.2, fixing another bug with server discovery as well as the fact that state events haven't been provided for the application using the SDK. Oops.

πŸ”—matrix-appservice-rs

Lieuwe announced:

matrix-appservice-rs got some love!

Though still a long way to go before it is comparable to the likes of matrix-appservice-node and matrix-appservice-bridge, I did improve some little things.

  • Updated to the latest (git) version of Ruma, and only depend on ruma instead of all subcrates.

  • Small memory improvements: using references in MappingId and shrinking the MappingDict when initializing.

  • Some more documentation.

  • Cleaned up the code a bit.

There is also now a specific room for this crate: #matrix-appservice-rs:lieuwe.xyz, feel free to ask for support or tell if you've suggestions.

πŸ”—quotient

kitsune said:

libQuotient 0.6.1 is out, with fixes for bugs found during the work on the next Quaternion release and also an optimisation in the way profiles of all the users are managed - noticeable when opening large rooms (like our lovely HQ). Quaternion 0.0.9.5 beta is coming real soon now (TM), with some big features being coded in and merged as I write this.

...and the release notes are here: https://github.com/quotient-im/libQuotient/releases/tag/0.6.1

πŸ”—Dept of Ops πŸ› 

πŸ”—mnotify

stefan said:

I created mnotify which is a CLI based matrix client for automation tasks in shell scripts. Currently it supports login (via password), logout, sending messages, simple syncing, "get"ting the synapse admin api, creating a room, inviting users to a room, and joining a room.

πŸ”—Dept of Services πŸš€

πŸ”—publiclist.anchel.nl

Mr. Wimpy offered:

https://publiclist.anchel.nl has been updated. The publiclist contains several public homeservers who can be used freely. Also listed some communities and roomdirectories which can be found at homeservers, last but not least public useable bridges can be found. The homeserver list contains now also uptime percentage and ip info. There is also a json that can be used by client builders.

πŸ”—Dept of Bots πŸ€–

πŸ”—Bots galore

Alexander Olofsson reported:

And in completely unrelated news, I also just tagged version 1.0.0 of an invite bot for Matrix, which helps in doing bulk invites to communities and community-associated rooms.

A single bulk-invite (MXID or 3PID) to a main room will be propagated to invites into the community (if wanted), as well as invites to all rooms linked to the community, once the invited user joins the main room.

πŸ”—Dept of Events and Talks πŸ—£οΈ

πŸ”—Perth Linux user group Matrix presentation

PC-Admin offered:

I did a talk called 'Matrix in 2020' with the Perth Linux user group, parts of the video are missing but the audio is solid

I think we did a good job summarising how far Matrix has come, we also preview the idea our new Matrix hosting company!

https://www.youtube.com/watch?v=jTutFZzFizw

From the YouTube description:

Michael Collins talks about the Matrix, covering the new features, perthchat.org, and ChatOasis an upcoming FOSS Matrix hosting company.

πŸ”—Dept of Ping πŸ“

Here we reveal, rank, and applaud the homeservers with the lowest ping, as measured by pingbot, a maubot that you can host on your own server. Join #ping:maunium.net to experience the fun live, and to find out how to add YOUR server to the game.

RankHostnameMedian MS
1fairydust.space325.5
2helderferreira.io614.5
3neko.dev661.5
4kif.rocks718.5
5matrix.vgorcum.com1785.5
6an-atom-in.space2034
7urech.ca2226.5
8ragon.xyz2436
9im.kabi.tk2478
10utzutzutz.net2588.5

πŸ”—That's all I know 🏁

See you next week, and be sure to stop by #twim:matrix.org with your updates!

This Week in Matrix 2020-09-04

2020-09-04 β€” This Week in Matrix β€” Ben Parsons
Last update: 2020-09-04 19:22

πŸ”—Matrix Live πŸŽ™

  • Kegan discusses Complement, testing suite for Homeservers
  • Steve from iOS: FaceID and PIN protection
  • ChristianP shows "Easy bridge creation with matrix-appservice-bridge"
  • Bruno demos Hydrogen e2ee features

πŸ”—Dept of Status of Matrix 🌑️

πŸ”—Next step in world domination

Alexander Olofsson reported:

The Matrix service at LinkΓΆping University has now passed its soft launch state and headed straight into full and proper deployment territory. (Though we're still not being overly vocal about it, don't want to crash our deployment on day one after all.)

They're simply announcing it on TWIM, perhaps the most high-profile place in the world!

We're doing a little bit of advertising of it to computer clubs and the like though, to slowly build up the users.

But then:

And just to add another slight update: already we have at least one conference planning on trying out the new Matrix server as well, so the user count might just end up exploding soon anyway.

\o/

πŸ”—Dept of Spec πŸ“œ

sorunome asks for attention on MSC2545:

As a lot of people in TWIM were originally interested in it, soru just wanted to say that MSC2545 (emotes) is no longer WIP, it is ready for review

πŸ”—Spec

anoa reported:

Here's your weekly spec update! The heart of Matrix is the specification - and this is modified by Matrix Spec Change (MSC) proposals. Learn more about how the process works at https://matrix.org/docs/spec/proposals.

πŸ”—MSC Status

Merged MSCs:

  • No MSCs were merged this week.

MSCs in Final Comment Period:

  • No MSCs are in FCP.

New MSCs:

πŸ”—Spec Core Team

In terms of Spec Core Team MSC focus for this week, we're sticking with the widget theme, but also adding something new. Travis is writing up a mahoosive widgets PR in addition to some widget MSCs. We're also adding on MSC2753 (peeking /sync), MSC2444 (peeking federation), which will both unlock some very exciting upcoming features (such as x-as-rooms)!

2020-09-04-gKF3z-stacked_area_chart.png

πŸ”—Dept of Servers 🏒

πŸ”—Synapse

anoa said:

Erik has made an initial, naive implementation of a sharded Event Persister worker - the non-sharded version currently being one of the biggest bottlenecks on matrix.org right now. It still needs a bit of polish to be production ready, and Sytest will need some updating to support testing it, but otherwise progress is looking good!

Brendan is polishing his unread counts implementations, while Rich is writing up the push rules replacement tech in an MSC. Rich has also been optimizing the device code in Synapse to both simplify the code, as well as cut down on unnecessary device data being sent over federation.

Patrick has finished converting Synapse's database code to be fully async! This has the benefit of making profiling the matrix.org Synapse process much more sane, and we're already starting to find a few little places where Synapse is burning CPU unnecessarily! Now, Synapse won't be fully async'd until Twisted itself is, and we drop support for older Twisted versions that aren't, which is not soon. However the majority of the code that developers touch and that is executed being async has massive benefits either way πŸ™‚

Andrew has been working on having a confirmation pop up after users click the link in their email, to help prevent phishing scams. He's also trying to finally make Synapse spec-compliant in accepting identifier dictionaries during user-interactive authentication.

Olivier has been continuing to help Synapse recover missed messages better after it has been offline for an extended period of time, as well as various fixes to push.

Expect a fresh release with all these changes soon!

As someone who had my own server outage this week I'm looking forward to seeing this!

πŸ”—Dendrite / gomatrixserverlib

Dendrite is a next-generation homeserver written in Go

Neil Alexander said:

This week we have been continuing on our bug-hunt mission and have been working on refactoring some significant parts of the codebase to simplify the API surfaces and avoid race conditions.

Changes this week include:

  • The current state server is in the process of being deprecated, with this functionality being folded into the roomserver

  • Support for rate limiting on certain CS API endpoints has been added

  • Support for password changes has been added, allowing users to change their own password

  • /sync no longer incorrectly lists some rooms in the leave section, which caused problems with Element Web and other clients

  • Roomserver input events are now handled in FIFO order with per-room workers

  • Roomserver input, query and perform packages are now split up nicely

  • The federation sender and keyserver now delay some startup tasks to allow the HTTP listeners to start more quickly

  • The federation sender is now used for backfilling and getting missing events

  • Some more SQLite writer bugs have been fixed

  • Room information in the roomserver is now handled in a common structure

  • The public rooms API now correctly searches remote servers (thanks rohitmohan96)

  • Initial support for Peeking (MSC2753) and Peeking over Federation (MSC2444) is in progress

Spec compliance is improving:

  • Client-Server APIs: 56%, up from 55% last week

  • Server-Server APIs: 71%, same as last week

Last week, we updated some of our documentation and created a whole new set of easy first issues and medium to hard issues for contributors.

If contributing to Dendrite sounds like something you would be interested in, please take a look at these issues and join us in #dendrite-dev:matrix.org! There's also #dendrite:matrix.org for general Dendrite chat and updates.

πŸ”—Synapse Deployment πŸ“₯️

πŸ”—YunoHost

Pierre announced:

YunoHost is an operating system aiming for the simplest administration of a server, and therefore democratize self-hosting.

Synapse integration had been updated to 1.18.0 (1.19.1 available in branch testing)

Element Web integration had been updated to 1.7.4 (1.7.5 available in branch testing)

πŸ”—Dept of Bridges πŸŒ‰

πŸ”—tomsg-matrix

Lieuwe told us:

Introducing a new bridge to the family, tomsg-matrix!

A friend of mine preferred using his own chat protocol, but having a chat protocol is useless without having people to talk to. Since I prefer using Matrix I thought it would be a fun exercise to try and create a bridge using Rust.

The bridge uses the newly created (still very WIP) matrix-appservice-rs. A Rust library that builds on top of the Ruma suite, the goal is for it to be comparable to matrix-appservice-node and matrix-appservice-bridge.

The code for tomsg-matrix is open source, but be prepared, I hastily pushed it to GitHub without cleaning it up.

Come chat to us over at #tomsg:lieuwe.xyz, hoping that it doesn't break. :P

Making your own chat protocol in a world of well established options seems, frankly- oh right.

πŸ”—matrix-sms-bridge

Benedict told us:

We are currently working on an Android-App to use an old smartphone as SMS-Gateway for matrix-sms-bridge, because using gammu in production (>50 SMS/day) seems not to be very reliable with our USB-modem.

πŸ”—im_sender_service, for zabbix bridging and more

progserega said:

I create service for sending corporate information: some service (for example zabbix) can send message to this service (over http-api) and service will create room (if needed), invite user and send message to this room. Service will change status of message in his database to readed when user will read this message. Also service can send any changes statuses of this message by callback url. Editing old messages also supported: for example zabbix can send UID problem to this service and it is will edit old "problem message" to "problem resolved".

Url: https://github.com/progserega/im_sender_service

πŸ”—Dept of Clients πŸ“±

πŸ”—Ditto

Ditto is a Matrix client for iOS & Android

Annie offered:

Ditto development is back from hiatus!

I'm currently in the process of rebuilding Ditto - partly to incorporate rn-matrix, and partly to support a WEB VERSION

The new repo can be found here (https://gitlab.com/ditto-chat/ditto) (there's a new repo mostly because getting react-native-web to play nicely with the rest of the app was a challenge, to say the least)

As a sneak peek, enjoy this rough version (https://ditto-test.netlify.app) of Ditto for web :)

Expect to see what I'm calling Ditto's 2.0.0 drop on TestFlight and Google Play in a few weeks.

Links:

Matrix Room

Big exciting things happening!

πŸ”—Hydrogen

Bruno offered:

Good progress this week, I just got end-to-end encryption working. The code still needs some cleanup and polishing to be able to release it in the wild, but expect a release somewhere next week with E2EE enabled.

YESSSS - see Matrix Live for a demo.

2020-09-04-t4hyh-image.png

πŸ”—gomuks

gomuks is a terminal based Matrix client written in Go. Source on GitHub

Tulir said:

gomuks now supports importing and exporting message decryption keys. It even supports exporting the keys for a specific room, e.g. for sharing them with someone else. To help with sharing exported key files with someone else, gomuks also got support for uploading media.

Next I'll try to figure out how nikofil's cross-signing/SSSS PR for mautrix-go works and use that in gomuks.

v0.2.0 was just released with these features!

πŸ”—NovaChat

eric told us:

NovaChat is a new Matrix-based desktop client that aggregates all your chat networks into one app. We now have integrated bridges for Whatsapp, Twitter, Telegram, Hangouts, Slack, Messenger, Android Messages (SMS), Skype, Discord, Instagram and IRC.

πŸ”—Sept 4 Updates:

  • Continuous UI improvements. Everything is much denser now. See screenshot below.

  • New bridge alert: tulir just completed an Android Messages SMS bridge (which is a total hack but it works!) for NovaChat.

  • Added Discord Bridge. Thanks for building this Sorunome!

πŸ”—In the works...

  • Still working on our iMessage bridge, using jailbroken iPhone 4s

  • Marking messages as 'unread'

Sign up for the NovaChat beta. Or send me a DM @eric:nova.chat!

2020-09-04-iEKfJ-Screenshot-20200904072010-980x1069.png

πŸ”—Nheko

Nheko is a desktop client using Qt, Boost.Asio and C++17. It supports E2EE (with the notable exception being device verification for now) and intends to be full featured and nice to look at

Nico (@deepbluev7:neko.dev) announced:

  • Lurkki added an emoji completer to the message area! This was a super requested feature and it is pretty awesome, that someone picked this up and implemented it! This means you can finally write :fire: and have it expand to πŸ”₯! Seems like this will also lead to a few more improvements to our other completers down the line (user, room, etc completions), so thank you very much Lurkki!

  • I've been mostly reviewing PRs this week (and trying to get some other work in line, like MSCs, synapse stuff, etc). With this hopefully Chethans work on cross-signing will be merged soon, which will give us most of the building blocks to have cross-signing in Nheko (his work is basically only missing Secure Secret Storage and Sharing). We hope to fix the few remaining build issues in the next week or so.

  • On the side I have been cleaning some UI stuff to simplify our room settings dialog and allow advanced users to hide/show certain event types in the timeline. This will probably take a bit more time to be finished though.

2020-09-04-KUPpB-clipboard.png

πŸ”—Fluffychat

sorunome offered:

Fluffychat 0.17.0 is released!

IMPORTANT: Due to legal reasons (USA cryptography export), end-to-end encryption has been disabled in the google play and ios builds for now. They will be re-enabled once we got all that figured out.

The F-Droid builds still have e2ee. As the play store and fdroid builds use the same build signature, you can simply install the fdroid version over the other one. More information on that here: https://fluffychat.im/en/fdroid.html

πŸ”—Features

  • Pin and unpin chats

  • Implement event aggregations

  • Implement message edits

  • Render reactions

  • Add / Remove reactions by tapping on existing reactions

πŸ”—Fixes:

  • Don't re-render the room list nearly as often, increasing performance

  • Various fixes for sending messages on bad networks

  • Design tweaks and fixes

  • Various performance fixes and improvements

Definitely hoping to see these issues resolved.

πŸ”—SchildiChat for Android

SpiritCroc offered:

I removed SchildiChat from the Google Play for now, due to the complications of providing encryption-capable software from US servers. Huge thanks to the FluffyChat team for providing insight into their investigations concerning the US export regulations!

On the positive side, SchildiChat is now finally available on F-Droid from the official repos.

Furthermore, I have set up my own F-Droid repository, where you can get updates that are compatible with the Google Play Store variant and which support push notifications.

On the implementation side, I can report the following:

  • Element 1.0.5 has been merged

  • The "low priority" category now remembers its expand/collapse-state across restarts

  • New setting to hide member state changes and reactions from the chat overview

  • The category unread counter badge now also displays the number of chats with new messages in case none of these has notifications enabled

πŸ”—Element-iOS

Manu announced:

This week, we should have fixed the background crash that was happening in TestFlight 1.0.7. TestFlight 1.0.9 has been submitted yesterday.

In parallel, we started to modernise the AppDelegate class, the entry point of the app. This is the very first step of several improvements we want to do (this is not only to rewrite it in Swift).

πŸ”—Element Android

benoit reported:

We have just merged a few big PRs to develop: add emails and phone numbers to Matrix account, rework of upload attachment management, and other stuff related to 1-1 calls. It will live on develop for the week-end and we will prepare the release v1.0.6 at the beginning of next week.

πŸ”—Dept of SDKs and Frameworks 🧰

πŸ”—rn-matrix

rn-matrix is a React Native SDK for matrix

Annie offered:

Built on the matrix-js-sdk, this NPM package will help any React Native developer drop matrix into their app.

Been working on this since the beginning of the summer - this package is split into two, one for the data and one with default UI components for those who want to drop chat into their app quickly (not required).

Would love feedback on docs, installation, and usage, so try it out and drop me a line!

Links: Docs (start here!) | Matrix Room

NB, this update should be read together with the Ditto update above

πŸ”—Ruma

iinuwa said:

Over the past couple of weeks, jplatte has been hard at work making sure we can introduce new fields to request and response types as non-breaking updates. Thanks to @nicholaswyoung, consumers can opt-in to breaking changes to ensure compliance with the spec on each update.

Besides that, we implemented another endpoint for the Federation API, bringing us up to 20/31 endpoints implemented.

πŸ”—New Contributors

πŸ”—Dept of Ops πŸ› 

πŸ”—matrix-docker-ansible-deploy

This Ansible playbook is meant to easily let you run your own Matrix homeserver.

Slavi reported:

matrix-docker-ansible-deploy can now help you set up matrix-registration - an application that lets you keep your Matrix server's registration private, but still allow certain users (those having a unique registration link) to register by themselves.

See our Setting up matrix-registration documentation page to get started.

πŸ”—Dept of Events and Talks πŸ—£οΈ

πŸ”—Matrix talk @ FrOSCon 2020 (in German)

Oleg reported:

I did a talk on Matrix bridges at the annual Free Open Source Conference.

Apparently

The interest was high. Some didn't know, that bridges exist in Matrix.

!!! Well thank you Oleg for letting them know.

πŸ”—Dept of Ping πŸ“

Here we reveal, rank, and applaud the homeservers with the lowest ping, as measured by pingbot, a maubot that you can host on your own server. Join #ping:maunium.net to experience the fun live, and to find out how to add YOUR server to the game.

RankHostnameMedian MS
1fairydust.space376
2neko.dev444.5
3tchncs.de565.5
4autodie.be958
5matrix.vgorcum.com1124
6maescool.be1435
7lermer.nl1989
8utzutzutz.net2207
9bau-ha.us2965
10rollyourown.xyz3013

πŸ”—That's all I know 🏁

See you next week, and be sure to stop by #twim:matrix.org with your updates!